Fig. 1

Download original image
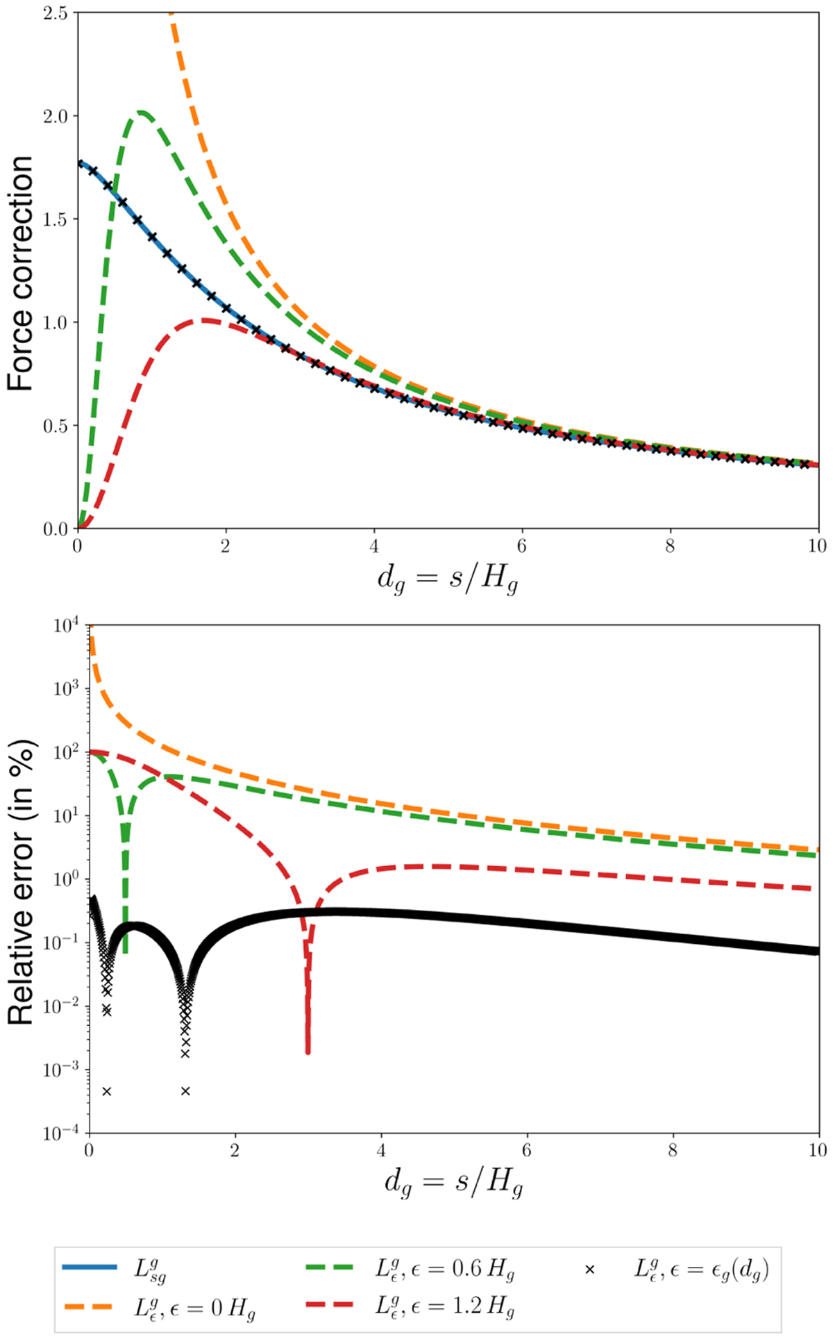
Force corrections for the gas only. We compare the SGFC (exact value, in blue solid line) and the SLFC model for different smoothing lengths based on constant values for the SL (red, green and orange dashed lines) or on function єg(dg) (black cross markers). For a CSL, єg = const., the SLFC and SGFC do not match at short separations: the error curve either tends either towards 0 or towards infinity. On the contrary, for a SVSL, єg = єg(dg), the SLFC matches SGFC with an accuracy better than 0.5%. We found that (Appendix C). Top: SGFC and SLFC. Bottom: relative error between SGFC and SLFC (in %): 100 · |SLFC/SGFC − 1|.
Current usage metrics show cumulative count of Article Views (full-text article views including HTML views, PDF and ePub downloads, according to the available data) and Abstracts Views on Vision4Press platform.
Data correspond to usage on the plateform after 2015. The current usage metrics is available 48-96 hours after online publication and is updated daily on week days.
Initial download of the metrics may take a while.