Fig. 3

Download original image
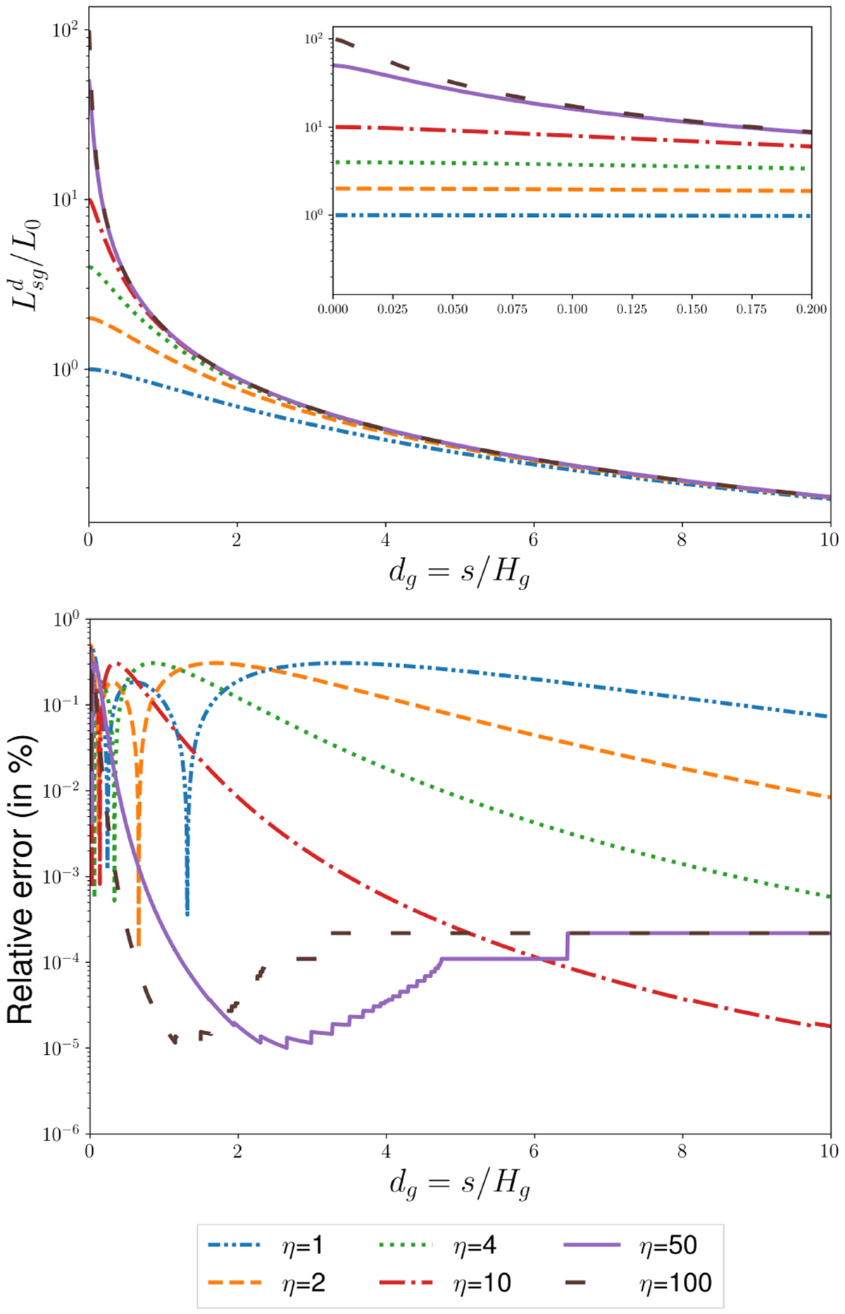
Self-gravity force corrections for dust only. We show the dependence of the dust force corrections for different values of the gas-to-dust scale-height ratio (η). For the whole range of η values, the accuracy is better than 0.5%. The dust SGFC is proportional to η at short distances (dg ≤ 1.5/η). For large values of η, this could favour gravitational clumping. Top: SGFC. Bottom: relative error between SGFC and SLFC (in %): 100 · |SLFC/SGFC − 1|.
Current usage metrics show cumulative count of Article Views (full-text article views including HTML views, PDF and ePub downloads, according to the available data) and Abstracts Views on Vision4Press platform.
Data correspond to usage on the plateform after 2015. The current usage metrics is available 48-96 hours after online publication and is updated daily on week days.
Initial download of the metrics may take a while.