Fig. 5

Download original image
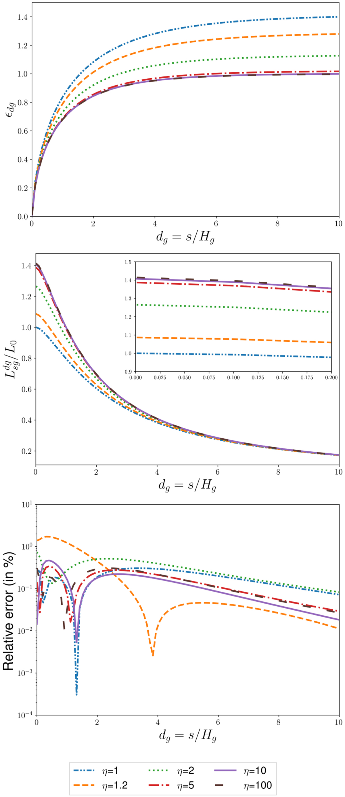
Force corrections and space-varying smoothing-length for dust-gas. We show the dependence of all quantities for different values of the gas-to-dust scale-height ratio (η). For thin (η ≫ 1) and thick (η = 1) dust layers, the SVSL tends towards the one of the gas and of the planet, respectively. At short distances the dust-gas SLFC is restricted to the interval . The accuracy of the SL method for the gravitational interaction of the gas disc with the embedded dust is better than 2% for the whole separation range. Top: SVSL. Middle: SGFC. Bottom: relative error between SGFC and SLFC (in %): 100 · |SLFC/SGFC − 1|.
Current usage metrics show cumulative count of Article Views (full-text article views including HTML views, PDF and ePub downloads, according to the available data) and Abstracts Views on Vision4Press platform.
Data correspond to usage on the plateform after 2015. The current usage metrics is available 48-96 hours after online publication and is updated daily on week days.
Initial download of the metrics may take a while.