Fig. 6

Download original image
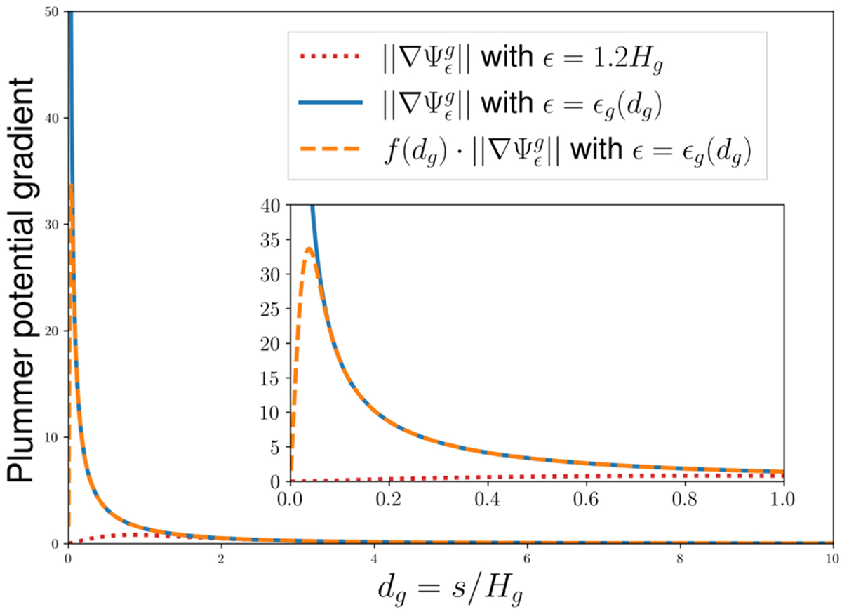
Normalised Plummer potential gradient with and without a tapering function. In the SVSL method, the introduction of a tapering function (Eq. (29)) avoids the divergence of the Plummer potential. At the same time, the low tapering length, ds(= 3/127 ≃ 0.024) ensures that most of the SG contribution is not lost over short distances (dg ≤ 1.5). Under the CSL approach (red dotted), the gradient is cancelled out at the singularity, although most of the short distance contribution to the SG is lost.
Current usage metrics show cumulative count of Article Views (full-text article views including HTML views, PDF and ePub downloads, according to the available data) and Abstracts Views on Vision4Press platform.
Data correspond to usage on the plateform after 2015. The current usage metrics is available 48-96 hours after online publication and is updated daily on week days.
Initial download of the metrics may take a while.