Open Access
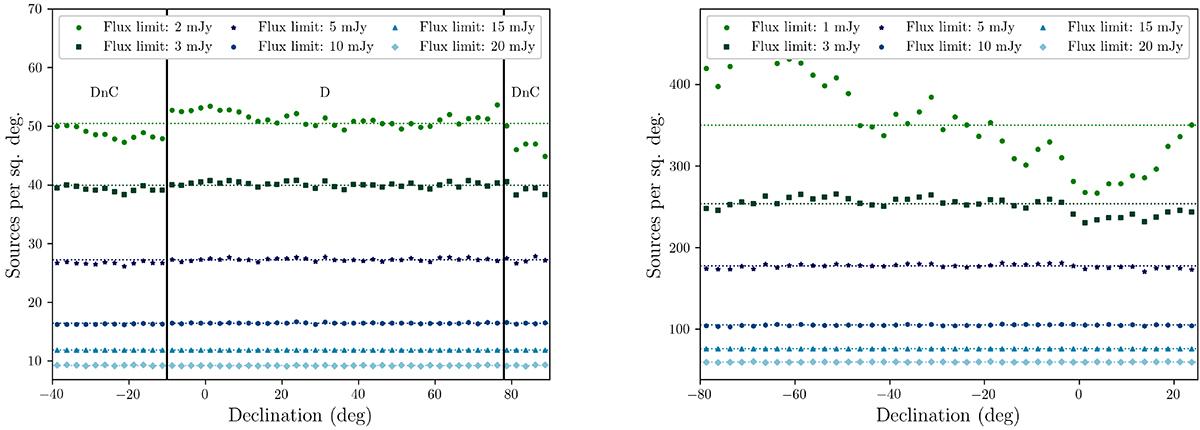
Fig. 1.

Download original image
Source density of NVSS (left) and RACS (right) as a function of declination for different flux density cuts. For the NVSS, we show the boundaries where different array configurations are used. In both cases, the catalogues can be seen to be inhomogeneous at low flux densities.
Current usage metrics show cumulative count of Article Views (full-text article views including HTML views, PDF and ePub downloads, according to the available data) and Abstracts Views on Vision4Press platform.
Data correspond to usage on the plateform after 2015. The current usage metrics is available 48-96 hours after online publication and is updated daily on week days.
Initial download of the metrics may take a while.