Fig. 15

Download original image
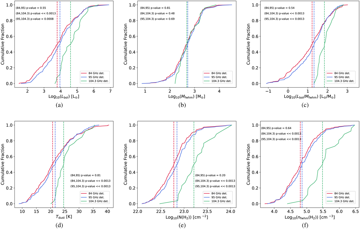
Cumulative distribution functions of the physical properties for the clumps with 84, 95, and 104.3 GHz methanol detections. Panels (a) to (f) are similar to the corresponding panels in Fig. 14. The vertical dashed lines in the corresponding colours depict the median values of each sample. The p-values from the K-S tests between each two methanol emission are presented in each panel.
Current usage metrics show cumulative count of Article Views (full-text article views including HTML views, PDF and ePub downloads, according to the available data) and Abstracts Views on Vision4Press platform.
Data correspond to usage on the plateform after 2015. The current usage metrics is available 48-96 hours after online publication and is updated daily on week days.
Initial download of the metrics may take a while.