Fig. 2

Download original image
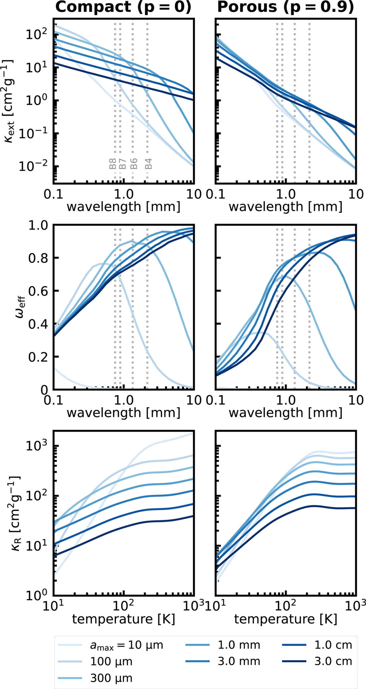
Effective extinction opacity (top), effective albedo (middle) and Rosseland-mean opacity (bottom) of compact (p = 0; left) and porous (p = 0.9; right) dust with different amax. The power-law index of the dust size distribution is set to pd = 3.5. The vertical gray dotted lines denote the wavelength of ALMA Bands 4, 6, 7, and 8.
Current usage metrics show cumulative count of Article Views (full-text article views including HTML views, PDF and ePub downloads, according to the available data) and Abstracts Views on Vision4Press platform.
Data correspond to usage on the plateform after 2015. The current usage metrics is available 48-96 hours after online publication and is updated daily on week days.
Initial download of the metrics may take a while.