Fig. 5

Download original image
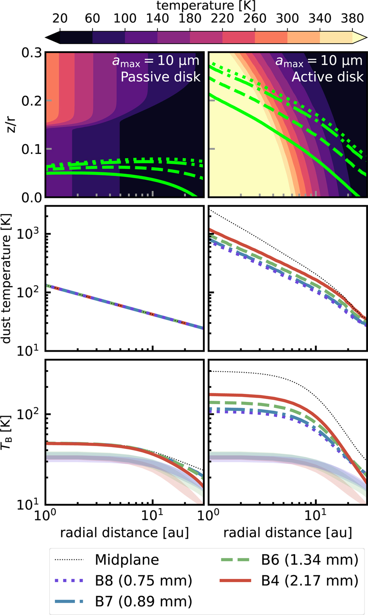
2D temperature structure (top), dust temperature at the ALMA surfaces (middle) and synthetic brightness temperature profiles (bottom). The maximum dust size is 10 µm. The left panels show the passive disk model where the disk is heated only by the stellar irradiation, whereas the right panels show the active disk model where the disk is heated by both stellar irradiation and disk accretion. The light green lines in the top panels denote the height where the vertical extinction optical depth reaches unity (ALMA surfaces) at ALMA Bands 4 (solid), 6 (dashed), 7 (dash-dotted), and 8 (dotted). The dust temperatures shown in the middle panels are not beam-convolded, while the brightness temperatures shown in the bottom panels are taken from the synthetic images convolved with a Gaussian with a FWHM of 13.2 au. The transparent regions denote the observed brightness temperatures.
Current usage metrics show cumulative count of Article Views (full-text article views including HTML views, PDF and ePub downloads, according to the available data) and Abstracts Views on Vision4Press platform.
Data correspond to usage on the plateform after 2015. The current usage metrics is available 48-96 hours after online publication and is updated daily on week days.
Initial download of the metrics may take a while.