Open Access
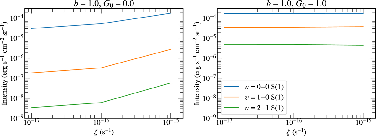
Fig. C.5

Download original image
Integrated intensity of select H2 lines as a function of the cosmic-ray ionization rate, ζH2. The panel on the left is for G0 = 0, and on the right for G0 = 1. Both are for a C-type shock with shock velocity of 20 km s−1, density of 104 cm−3, and b = 1.0. The PAH abundance is 10−8.
Current usage metrics show cumulative count of Article Views (full-text article views including HTML views, PDF and ePub downloads, according to the available data) and Abstracts Views on Vision4Press platform.
Data correspond to usage on the plateform after 2015. The current usage metrics is available 48-96 hours after online publication and is updated daily on week days.
Initial download of the metrics may take a while.