Highlight
Open Access

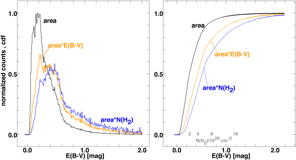
Fig. 8

image

Download original image

Probability distributions of area, amount of material, and molecular hydrogen with respect to EB−V. Left: counts (probability density) scaled to the same area. Right: cumulative distribution function. N(H2) is calculated using the mean power-law fit derived as shown in Fig. 7.

Current usage metrics show cumulative count of Article Views (full-text article views including HTML views, PDF and ePub downloads, according to the available data) and Abstracts Views on Vision4Press platform.

Data correspond to usage on the plateform after 2015. The current usage metrics is available 48-96 hours after online publication and is updated daily on week days.

Initial download of the metrics may take a while.