Fig. 6

Download original image
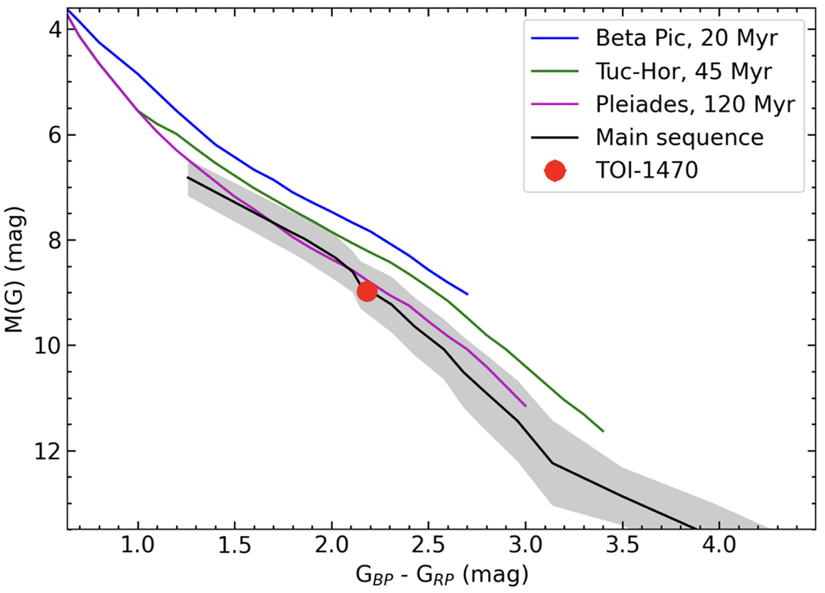
Location of TOI-1470 (red circle) in the Gaia color-magnitude diagram. The young stellar sequences of the β Pic (blue) and Tucana-Horologium (green) moving groups and the Pleiades star cluster (purple) are taken from Luhman (2018), and the main sequence of field stars (black) from Cifuentes et al. (2020). The gray area represents the dispersion observed among stars on the main sequence.
Current usage metrics show cumulative count of Article Views (full-text article views including HTML views, PDF and ePub downloads, according to the available data) and Abstracts Views on Vision4Press platform.
Data correspond to usage on the plateform after 2015. The current usage metrics is available 48-96 hours after online publication and is updated daily on week days.
Initial download of the metrics may take a while.