Open Access

Fig. 15

image

Download original image

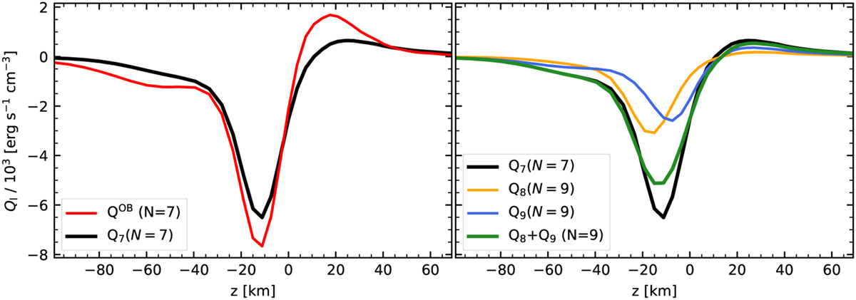
Comparison of the radiative energy exchange rate Q from bin 7 for N = 7 and bins 8 and 9 for N = 9 corresponding to the cases shown in Fig. 14 for the M2V star. Left panel: Q7 dominates the total QOB = Σl Ql for N = 7. Right panel: comparison of Q8 and Q9 for N = 9 against Q7 for N = 7.

Current usage metrics show cumulative count of Article Views (full-text article views including HTML views, PDF and ePub downloads, according to the available data) and Abstracts Views on Vision4Press platform.

Data correspond to usage on the plateform after 2015. The current usage metrics is available 48-96 hours after online publication and is updated daily on week days.

Initial download of the metrics may take a while.