Open Access

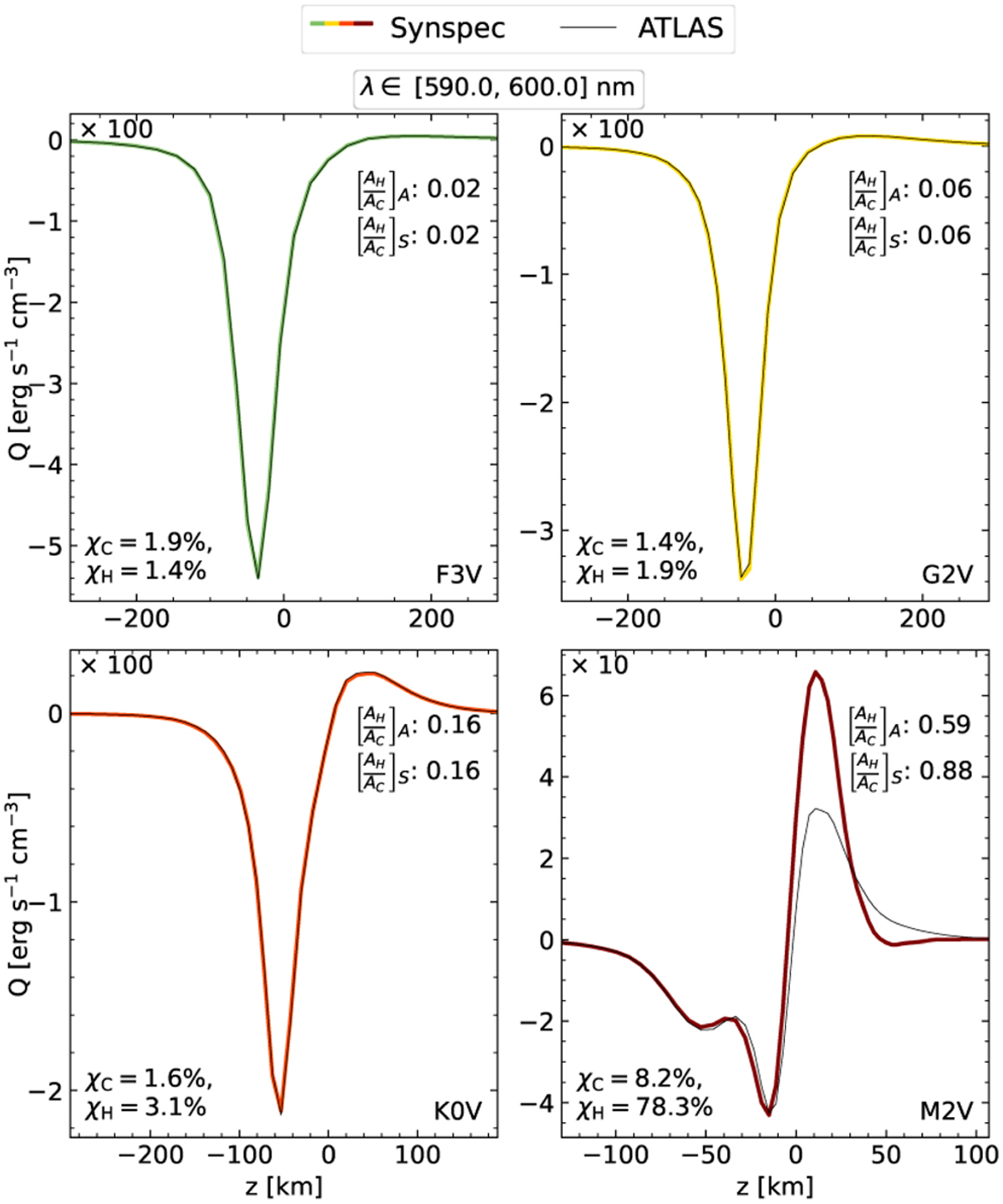
Fig. B.5

image

Download original image

Radiative energy exchange rate Qi computed from the four model atmospheres using the opacity shown in Fig. B.1 and integrated over the interval λ ∈ [590, 600] nm. The values on the vertical axis are scaled with the factor indicated in the top left of each panel. Bottom left of each panel: deviation between the two ODFs computed using Eqs. 13, 14. Top right of each panel: ratio of the heating area with respect to the cooling area for the Qi for both data sets (A for ATLAS and S for SYNSPEC).

Current usage metrics show cumulative count of Article Views (full-text article views including HTML views, PDF and ePub downloads, according to the available data) and Abstracts Views on Vision4Press platform.

Data correspond to usage on the plateform after 2015. The current usage metrics is available 48-96 hours after online publication and is updated daily on week days.

Initial download of the metrics may take a while.