Open Access

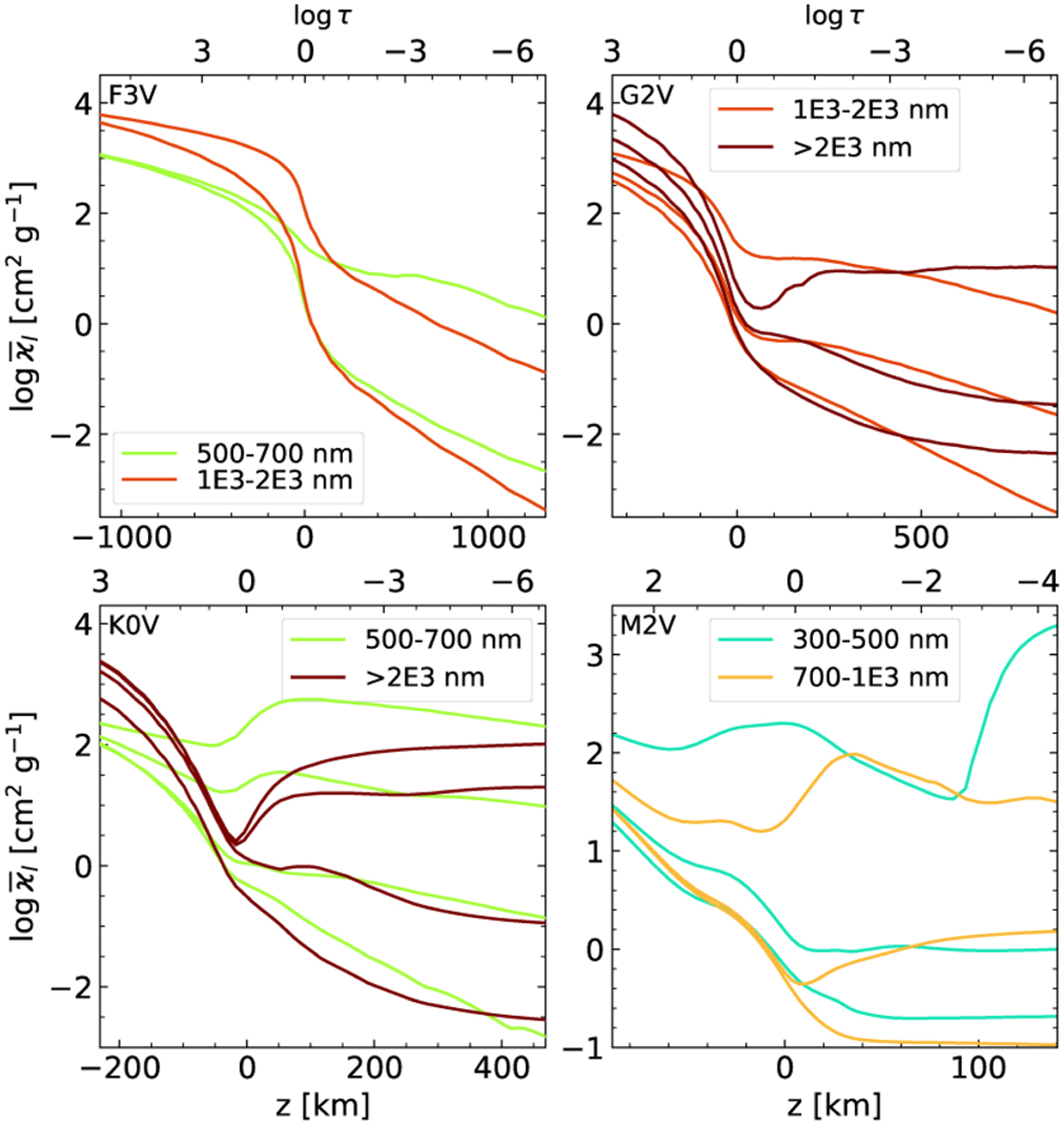
Fig. C.2

image

Download original image

Opacity of each τ-bin in pairs of λ-ranges for the four stars (spectral type at the top left of each panel) versus the geometrical height (bottom axis of each panel) and optical depth (top axis). The λ-ranges are selected to illustrate the different variations of the opacity with height depending on the spectral region. The colours of the curves correspond to the λ-ranges in Fig. C.1, with the values of each range in the legend.

Current usage metrics show cumulative count of Article Views (full-text article views including HTML views, PDF and ePub downloads, according to the available data) and Abstracts Views on Vision4Press platform.

Data correspond to usage on the plateform after 2015. The current usage metrics is available 48-96 hours after online publication and is updated daily on week days.

Initial download of the metrics may take a while.