Fig. C.3

Download original image
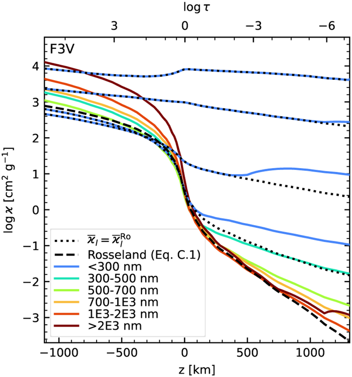
Opacity for each τ-bin in λ < 300 nm computed with Eq. 20 (solid blue curves) compared to the opacity
(dotted black curves) for the F3V star. The rest of the coloured curves correspond to the opacity for the least opaque bin for each wavelength range. Dashed black line: Rosseland opacity mean computed with Eq. C.1. The bottom and top axis show the geometrical height and optical depth, respectively.
Current usage metrics show cumulative count of Article Views (full-text article views including HTML views, PDF and ePub downloads, according to the available data) and Abstracts Views on Vision4Press platform.
Data correspond to usage on the plateform after 2015. The current usage metrics is available 48-96 hours after online publication and is updated daily on week days.
Initial download of the metrics may take a while.