Open Access

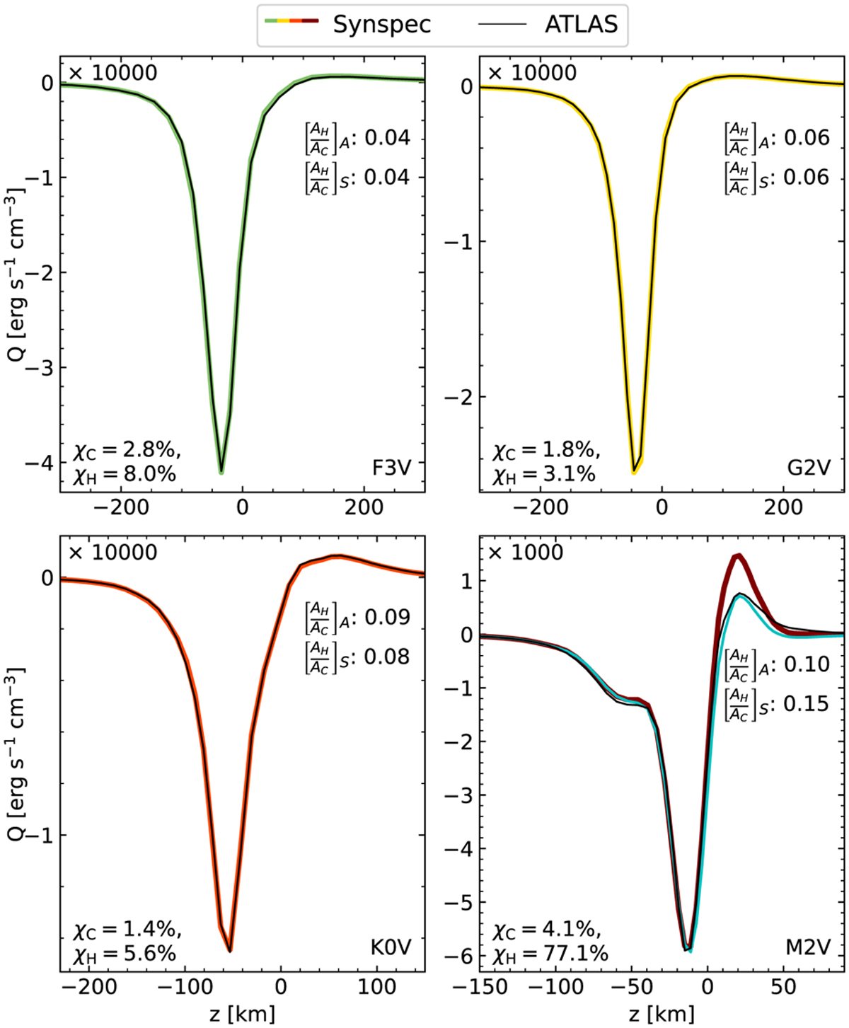
Fig. 7

image

Download original image

Bolometric radiative energy exchange rate QODF against the geometrical height in the four stellar models. The results using ODF from SYNSPEC (coloured lines) are compared to those using the ODF from ATLAS (thin black line). Top left of each panel: scaling factor of vertical axis. Bottom left of each panel: difference between the two ODFs computed using Eqs. (13) and (14). Top right of each panel: ratio of the heating area with respect to the cooling area for the Q for both data sets (A for ATLAS and S for SYNSPEC). In cyan in the bottom right panel for the M2V star: ODF computed using monochromatic opacity from SYNSPEC, excluding the lines from TiO and VO. The corresponding deviations for that Q curve are χC ≃ 7 and χΗ ≃ 29.

Current usage metrics show cumulative count of Article Views (full-text article views including HTML views, PDF and ePub downloads, according to the available data) and Abstracts Views on Vision4Press platform.

Data correspond to usage on the plateform after 2015. The current usage metrics is available 48-96 hours after online publication and is updated daily on week days.

Initial download of the metrics may take a while.