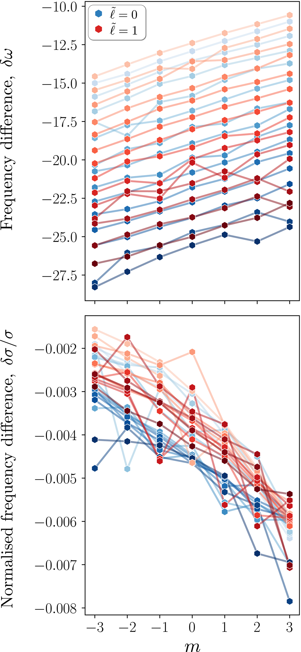
Fig. 10.

Download original image
Frequency differences in μHz (upper panel), as defined in Eq. (44), along with their normalised counterparts (lower panel) introduced in Eq. (45). These differences are shown as a function of the azimuthal order, m, for the (blue shades) and
(red shades) island modes. The colour shade indicates the mode’s pseudo-radial order,
(higher orders correspond to darker colours).
Current usage metrics show cumulative count of Article Views (full-text article views including HTML views, PDF and ePub downloads, according to the available data) and Abstracts Views on Vision4Press platform.
Data correspond to usage on the plateform after 2015. The current usage metrics is available 48-96 hours after online publication and is updated daily on week days.
Initial download of the metrics may take a while.