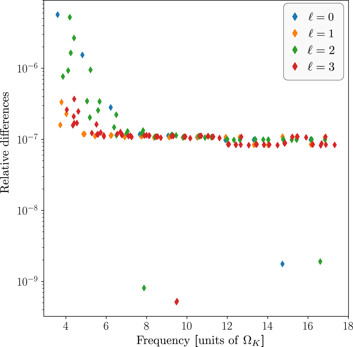
Fig. 7.

Download original image
Relative frequency differences between pulsation calculations in the N = 3, Ω = 0.58946223ΩK polytrope from Reese et al. (2006) and an equivalent model from the present method as a function of the oscillation frequency (expressed in units of the Keplerian rotation rate, ΩK). The different colours indicate the harmonic degree of the oscillation modes that are carried over from the non-rotating case. All azimuthal orders (|m|≤ℓ) are provided for each degree.
Current usage metrics show cumulative count of Article Views (full-text article views including HTML views, PDF and ePub downloads, according to the available data) and Abstracts Views on Vision4Press platform.
Data correspond to usage on the plateform after 2015. The current usage metrics is available 48-96 hours after online publication and is updated daily on week days.
Initial download of the metrics may take a while.