Fig. 3.

Download original image
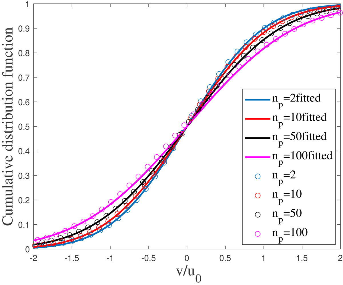
Cumulative distribution of particle velocity (normalized by u0) in halo groups of different sizes: nh = 2, 10, 50, and 100. A Gaussian distribution is expected for velocity of all particles in the same group. The cumulative distribution should be error function. Symbols plot the original data from a large-scale N-body simulation and lines plot the best fitted error function. Simulation data confirm Gaussian distribution of particle velocity in the same group, while the velocity of all the particles in all halos is non-Gaussian (i.e., the X distribution).
Current usage metrics show cumulative count of Article Views (full-text article views including HTML views, PDF and ePub downloads, according to the available data) and Abstracts Views on Vision4Press platform.
Data correspond to usage on the plateform after 2015. The current usage metrics is available 48-96 hours after online publication and is updated daily on week days.
Initial download of the metrics may take a while.