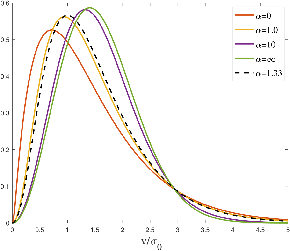
Fig. 5.

Download original image
Distribution of particle speed (Z distribution) for different α (α = 0.1, 1, 10, ∞). The Z distribution approaches a Maxwell-Boltzmann distribution with α → ∞. With increasing α, the distribution shifts towards the large velocity with more particles exhibiting an intermediate speed and, conversely, fewer particles exhibiting a small and large speed.
Current usage metrics show cumulative count of Article Views (full-text article views including HTML views, PDF and ePub downloads, according to the available data) and Abstracts Views on Vision4Press platform.
Data correspond to usage on the plateform after 2015. The current usage metrics is available 48-96 hours after online publication and is updated daily on week days.
Initial download of the metrics may take a while.