Fig. 6.

Download original image
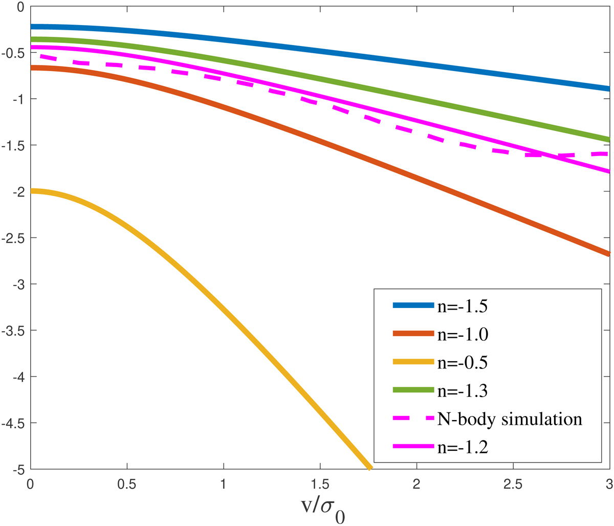
Dependence of normalized particle energy ε(v) (normalized by ) on particle speed v for five different potential exponents n with a fixed shape parameter α = 1.33. For small speed, the particle energy follows a parabolic law with particle speed (ε(v) ∝ v2 Eq. (30)). While for large speed, the particle energy follows a linear scaling with particle speed (ε(v) ∝ v in Eq. (31)) that is different from gas molecules. Particle energy from N-body simulation is plotted as the dash line. Simulation matches an effective exponent n = −1.2 for virial theorem (not −1 due to the mass cascade and nonzero halo surface energy; Xu 2021b).
Current usage metrics show cumulative count of Article Views (full-text article views including HTML views, PDF and ePub downloads, according to the available data) and Abstracts Views on Vision4Press platform.
Data correspond to usage on the plateform after 2015. The current usage metrics is available 48-96 hours after online publication and is updated daily on week days.
Initial download of the metrics may take a while.