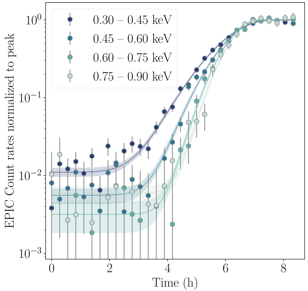
Fig. A.2.

Download original image
Combined background-subtracted EPIC light curves in different energy bands, binned at 500 s, and normalised to the fitted value of the peaks. The envelopes correspond to the 16th and 84th percentiles of the posteriors, similarly to what is shown in Fig. 5. This shows the energy dependence of the start of the burst. This is similar to Fig. 2 of Miniutti et al. (2019), for instance.
Current usage metrics show cumulative count of Article Views (full-text article views including HTML views, PDF and ePub downloads, according to the available data) and Abstracts Views on Vision4Press platform.
Data correspond to usage on the plateform after 2015. The current usage metrics is available 48-96 hours after online publication and is updated daily on week days.
Initial download of the metrics may take a while.