Open Access

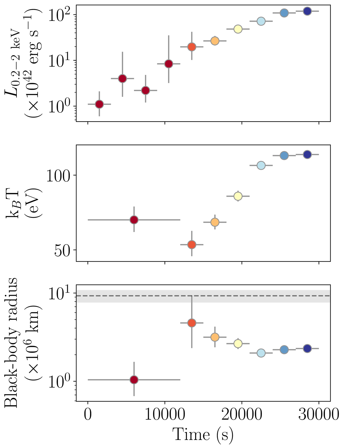
Fig. 7.

image

Download original image

Results of spectral-timing study of the XMM-Newton observation for the tbabs×zashift×bbody model. Top panel: evolution of the 0.2–2.0 keV unabsorbed luminosity. Middle panel: evolution of the temperature of the black body. The quiescent state, corresponding to the first 12 ks, was combined. Bottom panel: evolution of the radius of the black body. The precise values and errors can be found in Table A.3. The grey dotted line and shaded area correspond to the gravitational radius value and errors inferred from the TDEmass black-hole mass estimate from Hammerstein & Velzen (2022). This temporal evolution is available as an online movie.

Current usage metrics show cumulative count of Article Views (full-text article views including HTML views, PDF and ePub downloads, according to the available data) and Abstracts Views on Vision4Press platform.

Data correspond to usage on the plateform after 2015. The current usage metrics is available 48-96 hours after online publication and is updated daily on week days.

Initial download of the metrics may take a while.