Fig. 4.

Download original image
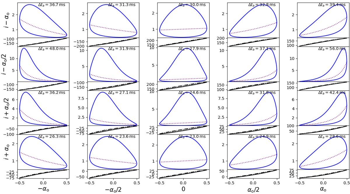
Burst envelopes (upper panels) and PA (lower panels) for various colatitudes (vertically) and longitudes (horizontally) centred on the magnetic axis in the vicinity of the last open field lines (magnetic colatitude α ∼ αo) at altitude r = 100R* and for magnetic inclination i = 45°. Characteristic burst frequencies fc (Eq. (40)) are shown as dashed purple lines, while blue contours show f± (see Eq. (39)). Frequencies (y axis of upper plots) are represented in units of f0 = F/rβ. Characteristic PA, Ψc, are dotted black lines, Ψ+ are solid black lines and Ψ− dash-dotted lines (see Eq. (57)). PA are in degrees. The following fiducial values are assumed: P = 3245 ms, Ω = αo/5 ≃ 0.09 rad, β = 3.
Current usage metrics show cumulative count of Article Views (full-text article views including HTML views, PDF and ePub downloads, according to the available data) and Abstracts Views on Vision4Press platform.
Data correspond to usage on the plateform after 2015. The current usage metrics is available 48-96 hours after online publication and is updated daily on week days.
Initial download of the metrics may take a while.