Fig. 6.

Download original image
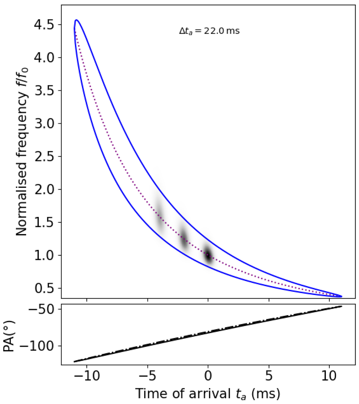
Repeater-like bursts, envelope, and polarisation. Top: frequency versus time of arrival plot of a sequence of three bursts (grey scale) and an envelope. Bottom: PA envelope. The geometry is dipolar with an added toroidal component which intensity if 50% that of the poloidal component. The location is at the vertical of the magnetic pole of the dipole at altitude r = 100R*, as in Fig. 4. Other parameters are also identical to Fig. 4, in particular Ω ≃ 0.09 rad and β = 3, except the spin period which is P = 250 ms (see main text). The three bursts have identical photon rates , identical Gaussian width σi = 0.3 ms and Gaussian opening angle
. Line styles for the envelope and PA curves are as in Fig. 4.
Current usage metrics show cumulative count of Article Views (full-text article views including HTML views, PDF and ePub downloads, according to the available data) and Abstracts Views on Vision4Press platform.
Data correspond to usage on the plateform after 2015. The current usage metrics is available 48-96 hours after online publication and is updated daily on week days.
Initial download of the metrics may take a while.