Fig. B.1

Download original image
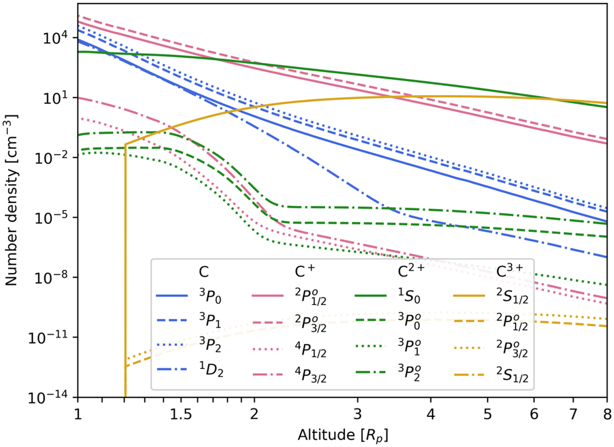
Density structures of different carbon ions and their energy levels as returned by Cloudy for the hot Jupiter planet around a G2 star. The blue, pink, green and yellow colors correspond to atomic, single, double and triple ionized carbon, respectively. For each of these, the density structures of the four lowest energy levels are shown in different line styles. We postprocess such density structures with the coefficients from the NIST database to produce synthetic transmission spectra. For example, the C I λ 1657 multiplet is a blend of lines originating from the 3P0,3P1 and 3P2 levels, while the C III λ 977 line originates solely from the ground-state (i.e., 1S0).
Current usage metrics show cumulative count of Article Views (full-text article views including HTML views, PDF and ePub downloads, according to the available data) and Abstracts Views on Vision4Press platform.
Data correspond to usage on the plateform after 2015. The current usage metrics is available 48-96 hours after online publication and is updated daily on week days.
Initial download of the metrics may take a while.