Open Access
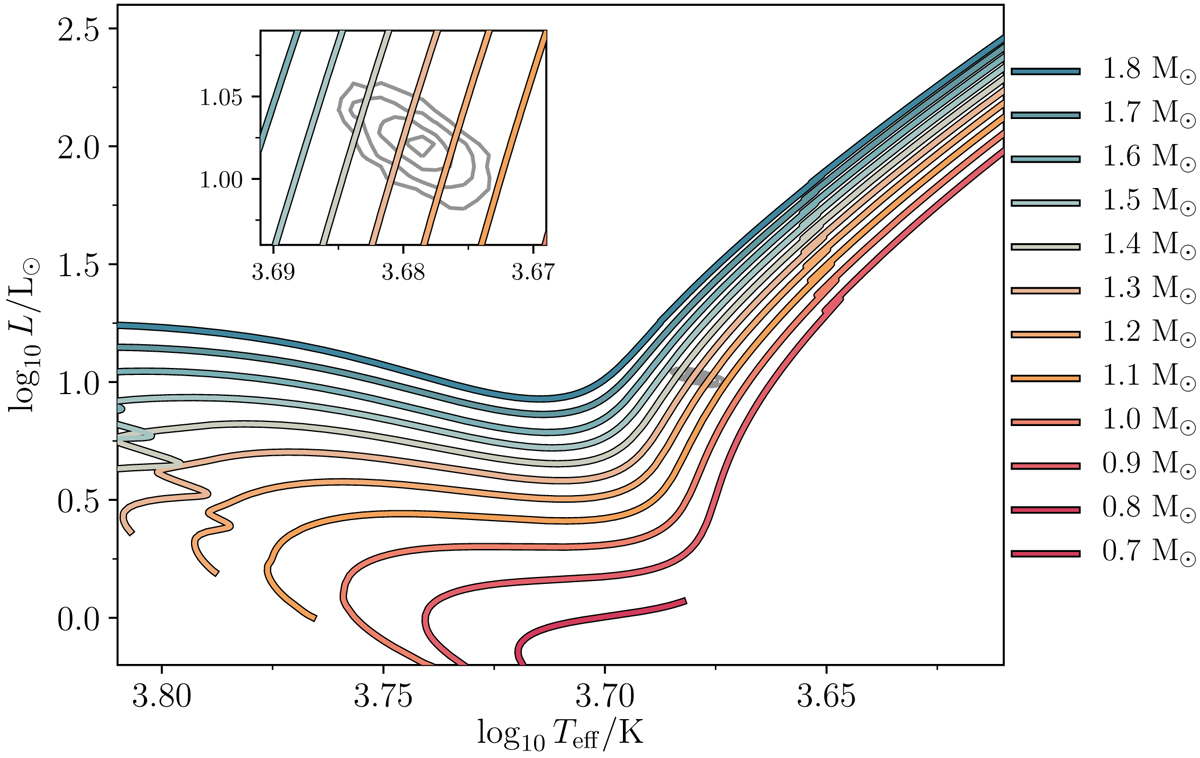
Fig. 8.

Download original image
Hertzsprung-Russell diagram with the GARSTEC tracks used for the fit with BASTA. The tracks are spaced by 0.1 M⊙ and all have a metallicity of [Fe/H] = 0.2 dex. The location of γ Cep A is shown with contours created from the BASTA Teff and R⋆ in Table 4. The inset shows a close-up around γ Cep A.
Current usage metrics show cumulative count of Article Views (full-text article views including HTML views, PDF and ePub downloads, according to the available data) and Abstracts Views on Vision4Press platform.
Data correspond to usage on the plateform after 2015. The current usage metrics is available 48-96 hours after online publication and is updated daily on week days.
Initial download of the metrics may take a while.