Fig. 6

Download original image
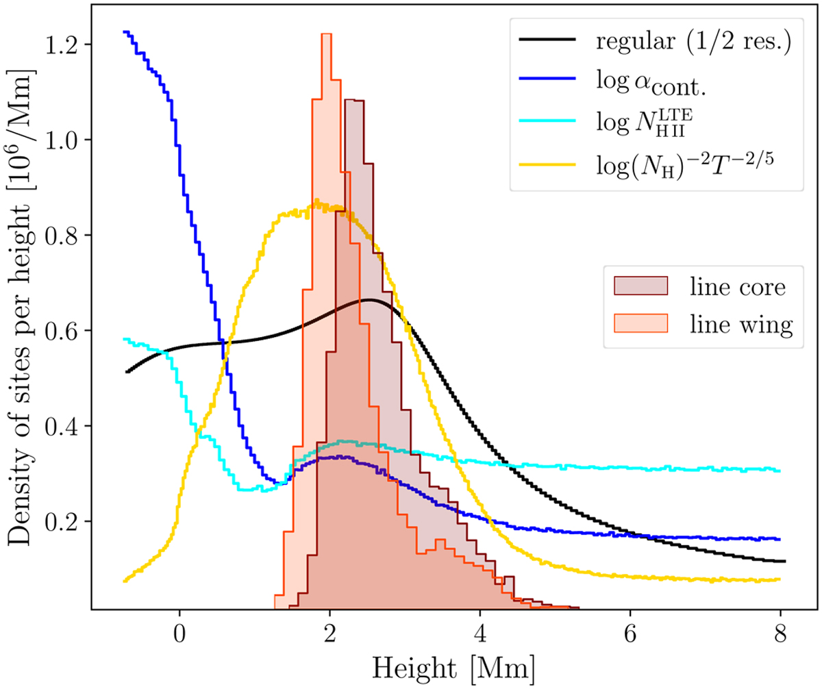
Distributions of the vertical density of the grid points for different grids. The regular grid (black) was taken at half resolution, meaning every second grid point. The different irregular grids (blue, cyan, and yellow) were sampled by the quantity indicated in the legend and had three million sites. The shaded histograms (red) show the τ = 1 heights at the line core and the wing at −27 km s−1 from the core.
Current usage metrics show cumulative count of Article Views (full-text article views including HTML views, PDF and ePub downloads, according to the available data) and Abstracts Views on Vision4Press platform.
Data correspond to usage on the plateform after 2015. The current usage metrics is available 48-96 hours after online publication and is updated daily on week days.
Initial download of the metrics may take a while.