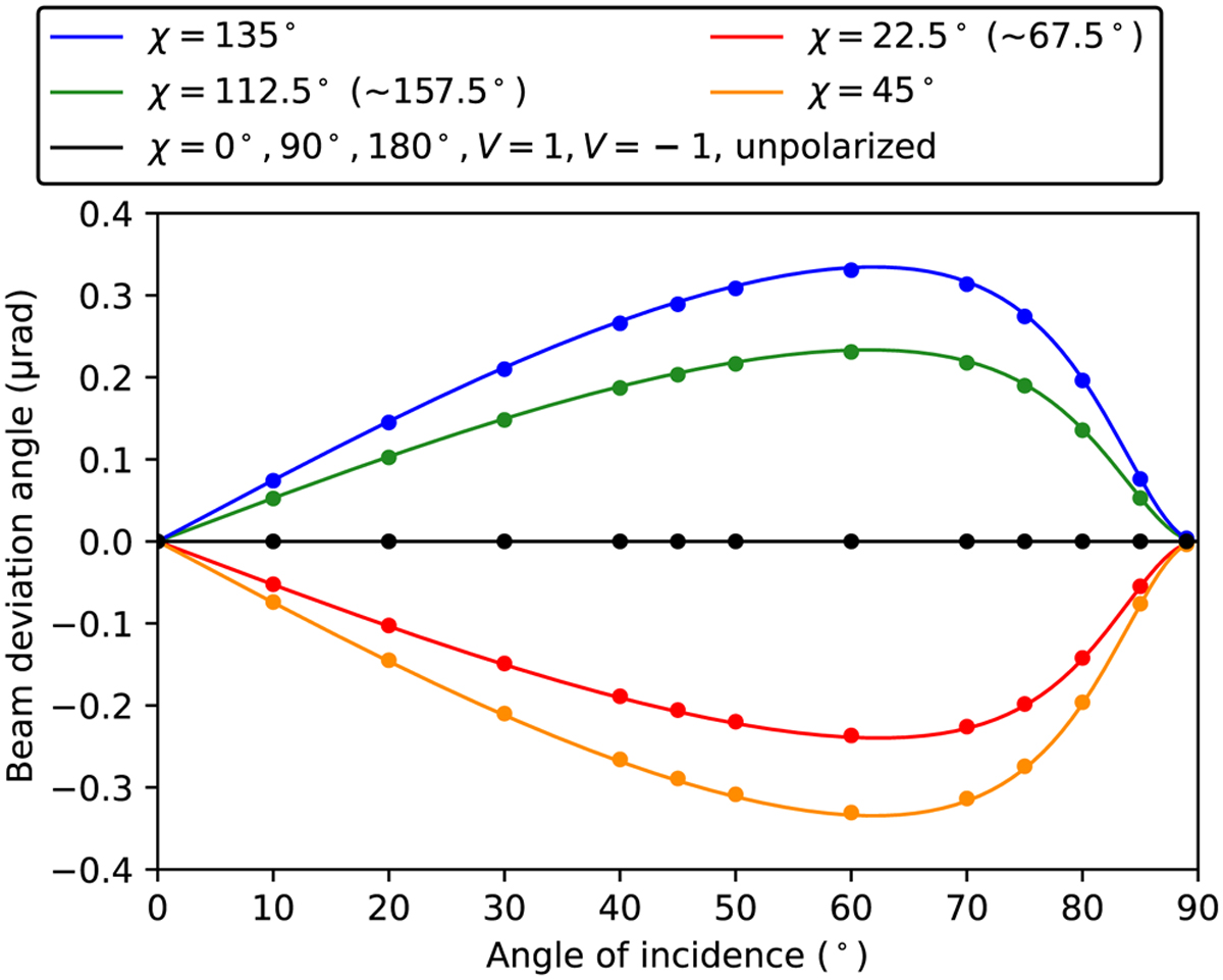
Fig. 10

Download original image
Angular IF shift as a function of the angle of incidence at a wavelength of 820 nm for a beam of light with an f-number of 61.3 that reflects off gold as obtained from the closed-form expression of Eq. (34) (curves) and polarization ray tracing (data points). The shift is shown for an incident beam that is completely unpolarized, 100% linearly polarized with various angles of linear polarization χ, and 100% right-handed (V = 1) or left-handed (V = −1) circularly polarized. The shifts for χ = 67.5° and χ = 157.5° are not shown, but are very close to the shifts for χ = 22.5° and χ = 112.5°, respectively. Except for the circular polarization, the colors used indicate the same polarization states as in Fig. 9.
Current usage metrics show cumulative count of Article Views (full-text article views including HTML views, PDF and ePub downloads, according to the available data) and Abstracts Views on Vision4Press platform.
Data correspond to usage on the plateform after 2015. The current usage metrics is available 48-96 hours after online publication and is updated daily on week days.
Initial download of the metrics may take a while.