Open Access
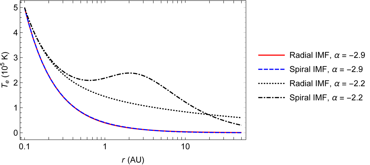
Fig. 3.

Download original image
Electron temperature evolution in a radial and spiral IMF with the power law indices α = −2.9, α = −2.2, and an electron heat flux intensity equal to 1/3 of the free streaming electron heat flux at 0.1 AU.
Current usage metrics show cumulative count of Article Views (full-text article views including HTML views, PDF and ePub downloads, according to the available data) and Abstracts Views on Vision4Press platform.
Data correspond to usage on the plateform after 2015. The current usage metrics is available 48-96 hours after online publication and is updated daily on week days.
Initial download of the metrics may take a while.