Fig. 5.

Download original image
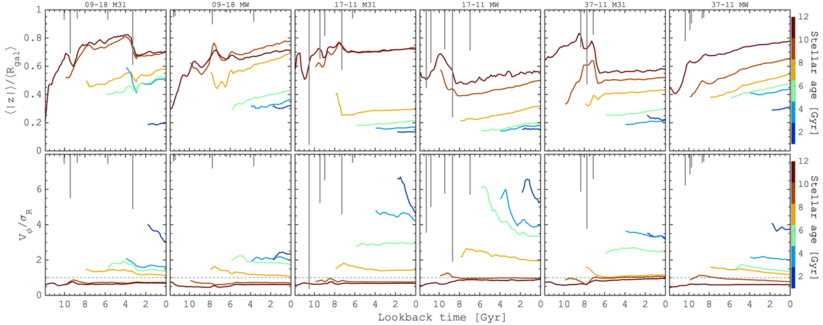
Time evolution of the short-to-long-axis ratio and Vϕ/σ relation of the in situ stellar populations. Top: ratio between the mean height and the mean radial extension of the stellar component, calculated as the mean absolute values of the vertical, ⟨|z|⟩, and galactocentric radial, ⟨Rgal⟩, position of stars of a given age. Bottom: ratio between the mean rotational velocity (Vϕ) and the radial velocity dispersion of stars in a given age range. Stars of different ages are shown by different colours, specified by the colour bar on the right, where each line starts from the oldest stars formed in a 2 Gyr age-interval. The grey vertical lines highlight the five most significant mergers. The line length corresponds to the stellar mass ratio of the merger relative to the host at the time of accretion. The black dashed line in the bottom row shows Vϕ/σR = 1. The figure suggests that in the HESTIA simulations even the oldest stars of M 31 and MW galaxies were formed as flattened ‘discy’ components which however formed and remained dispersion-dominated populations. The impact of the mergers is seen in some cases, which, however, do not have a dominant impact on the shape and overall kinematics of the in situ stars.
Current usage metrics show cumulative count of Article Views (full-text article views including HTML views, PDF and ePub downloads, according to the available data) and Abstracts Views on Vision4Press platform.
Data correspond to usage on the plateform after 2015. The current usage metrics is available 48-96 hours after online publication and is updated daily on week days.
Initial download of the metrics may take a while.