Fig. 9.

Download original image
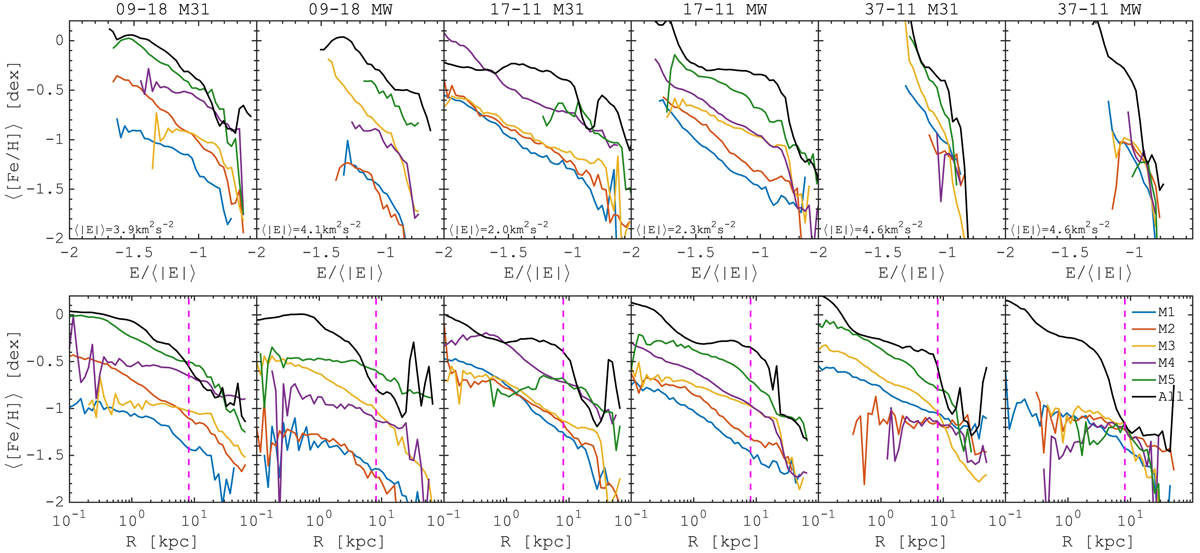
Mean metallicity of the stellar debris for the five most significant mergers as a function of the total energy (top row) and galactocentric distance (bottom row). The chemical abundance variations within dwarf galaxies before the accretion result in the negative radial metallicity gradients in the main progenitors stellar halos once they are accreted.
Current usage metrics show cumulative count of Article Views (full-text article views including HTML views, PDF and ePub downloads, according to the available data) and Abstracts Views on Vision4Press platform.
Data correspond to usage on the plateform after 2015. The current usage metrics is available 48-96 hours after online publication and is updated daily on week days.
Initial download of the metrics may take a while.