Open Access
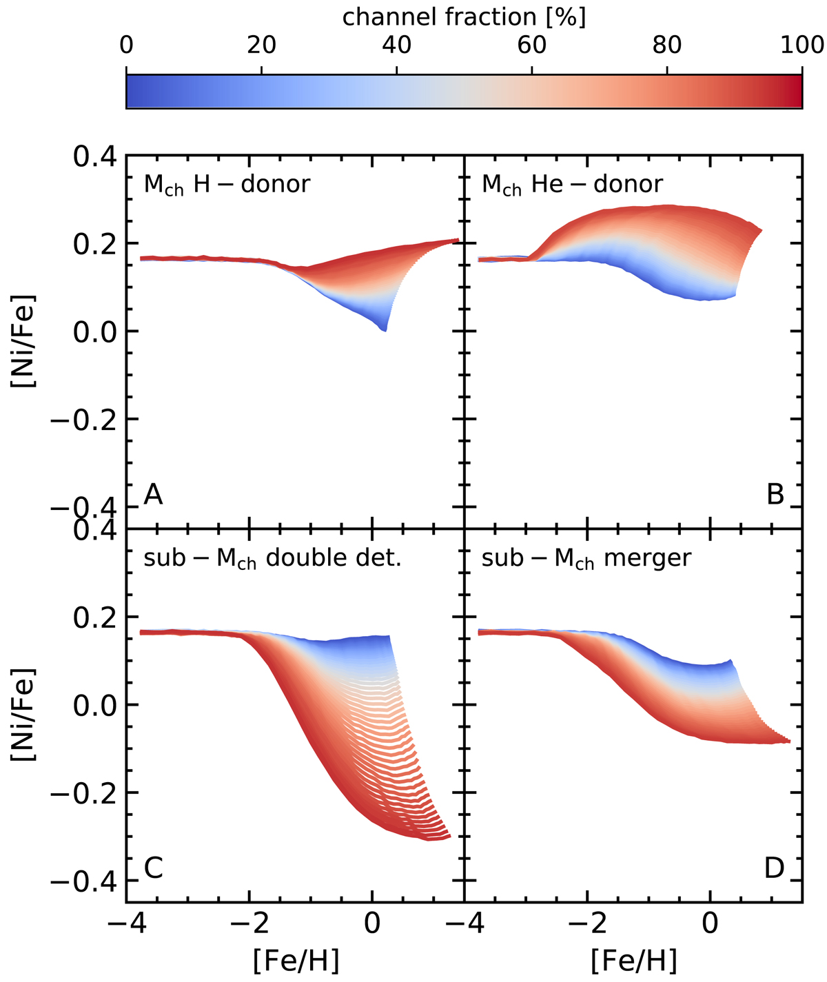
Fig. 7.

Download original image
Effects of different numbers of SN Ia on the synthetic abundance curves of [Ni/Fe]. In each panel, log Ni is varied from 3.0 to 6.0 for the respective channel, while the contributions from the remaining three channels are kept fixed.
Current usage metrics show cumulative count of Article Views (full-text article views including HTML views, PDF and ePub downloads, according to the available data) and Abstracts Views on Vision4Press platform.
Data correspond to usage on the plateform after 2015. The current usage metrics is available 48-96 hours after online publication and is updated daily on week days.
Initial download of the metrics may take a while.