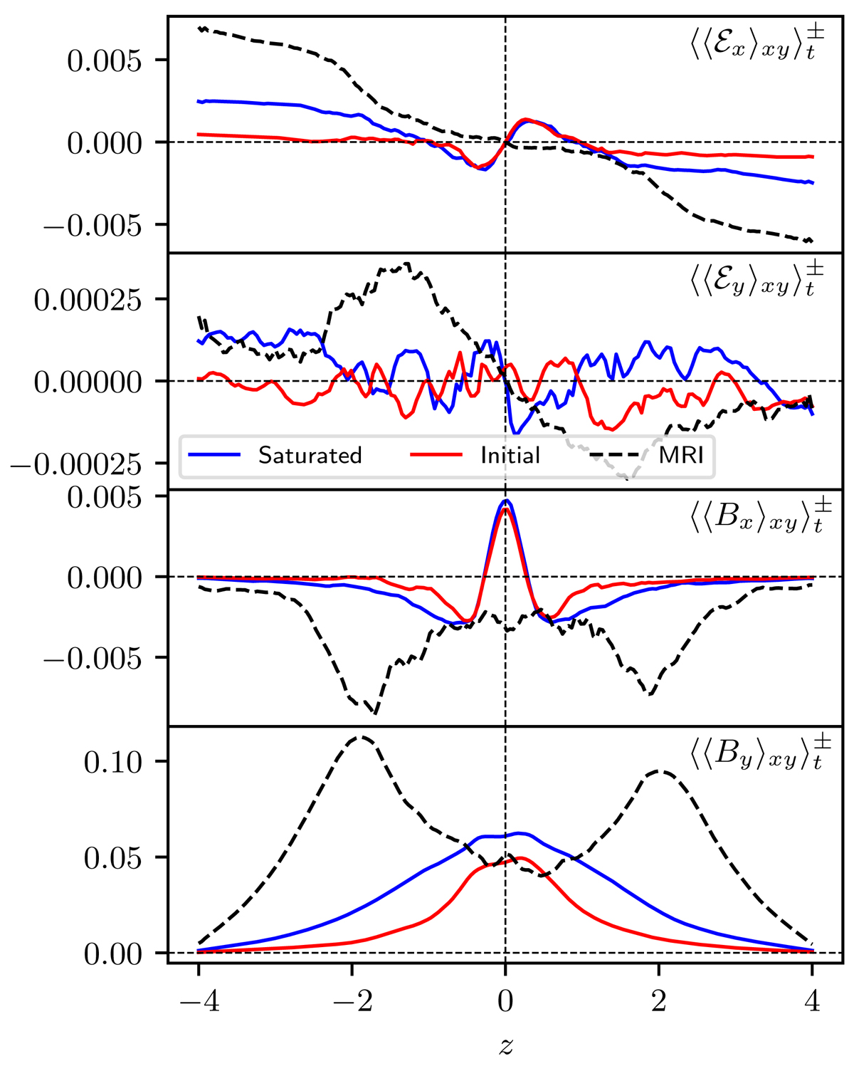
Fig. 9.

Download original image
Horizontally averaged field components and EMFs as a function of z, equivalent to Fig. 8 except now evaluated for simulation sg-mhd-tau10. Red curves are averages over the 400 − 600 interval, and the blue profiles are averages over the 1000 − 1500
interval. The dashed black curves correspond to MRI-compare (100 − 1000
). For the time average,
is used (see Fig. 8 or the main text for more details).
Current usage metrics show cumulative count of Article Views (full-text article views including HTML views, PDF and ePub downloads, according to the available data) and Abstracts Views on Vision4Press platform.
Data correspond to usage on the plateform after 2015. The current usage metrics is available 48-96 hours after online publication and is updated daily on week days.
Initial download of the metrics may take a while.