Fig. 12.

Download original image
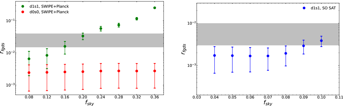
Trend of the tensor-to-scalar ratio rfgds fitted on the NILC foregrounds residuals angular power spectra with the likelihood of Eq. (26) when the sky fraction of the employed mask varies. The adopted masking strategy is the second one described in Sect. 4.1: we mask the most contaminated regions by foregrounds residuals. In this case, the input multi-frequency B-mode maps are constructed full-sky and then masked. The considered cases are SWIPE+Planck (left) with both d0s0 (red) and d1s1 (green) Galactic models and SO-SAT dataset (right) assuming only the d1s1 sky model. The grey shaded areas show the targeted sensitivity of the LSPE and SO experiments. The angular power spectra in the likelihood are binned with Δℓ = 15. The error bars indicate the bounds at 2σ (left) and 1σ (right) obtained from the posterior distributions.
Current usage metrics show cumulative count of Article Views (full-text article views including HTML views, PDF and ePub downloads, according to the available data) and Abstracts Views on Vision4Press platform.
Data correspond to usage on the plateform after 2015. The current usage metrics is available 48-96 hours after online publication and is updated daily on week days.
Initial download of the metrics may take a while.