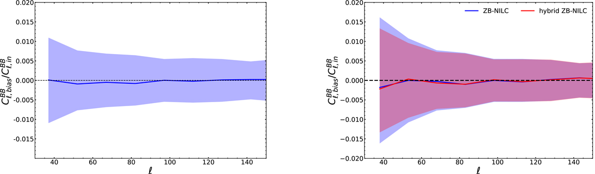
Fig. A.2.

Download original image
Bias in the CMB B-mode power spectrum reconstruction for SO-SAT dataset. The ratio between the bias (see Eq. A.3) and the input CMB power spectrum
. All angular power spectra are computed as the average among 200 different simulated NILC CMB reconstructions and adopting the masks employed in Sect. 5. The shaded regions display the relative uncertainty computed as
. Left: Results of the application of r-NILC. Right: Bias from the ZB (blue) and hybrid ZB-NILC (red) methods. In all cases input foregrounds emission was simulated assuming the d1s1 sky model.
Current usage metrics show cumulative count of Article Views (full-text article views including HTML views, PDF and ePub downloads, according to the available data) and Abstracts Views on Vision4Press platform.
Data correspond to usage on the plateform after 2015. The current usage metrics is available 48-96 hours after online publication and is updated daily on week days.
Initial download of the metrics may take a while.