Fig. 1

Download original image
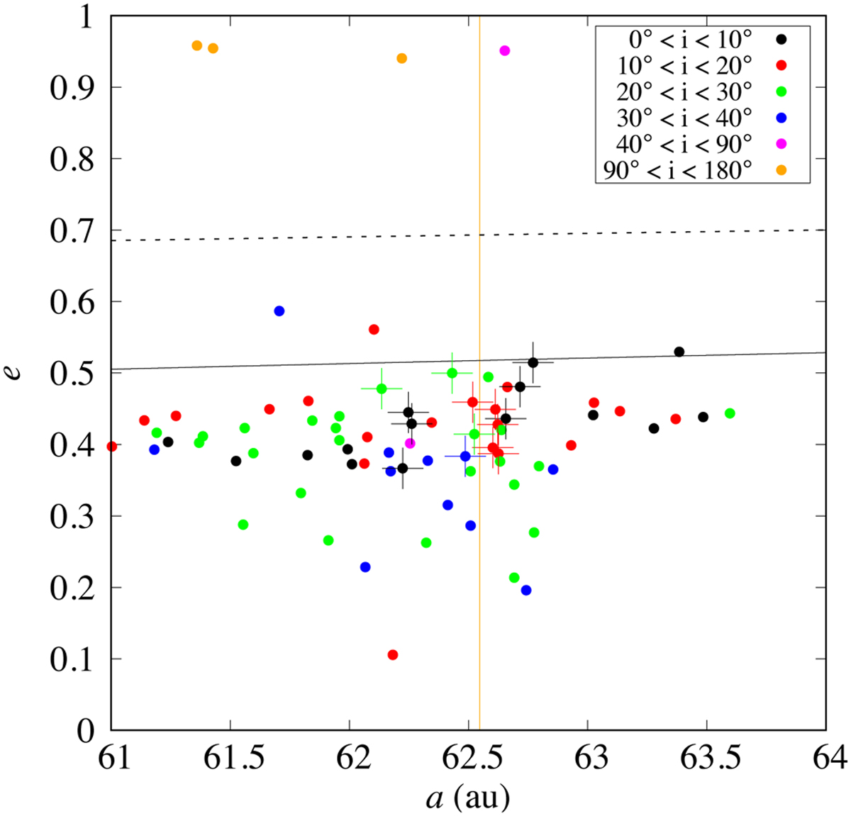
Barycentric orbital elements distribution of the TNOs that are close to the 3/1 MMR with Neptune. We show 76 bodies in the range [61, 64] au, with each colour corresponding to a different inclination range. The resonant TNOs are marked with a cross (Table 1), and the remaining non-resonant with a dot. The orange vertical line gives the nominal resonant semi-major axis a ≈ 62.55 au. The black solid and dashed lines give the overlap with Neptune and Uranus orbits, respectively.
Current usage metrics show cumulative count of Article Views (full-text article views including HTML views, PDF and ePub downloads, according to the available data) and Abstracts Views on Vision4Press platform.
Data correspond to usage on the plateform after 2015. The current usage metrics is available 48-96 hours after online publication and is updated daily on week days.
Initial download of the metrics may take a while.