Open Access
Fig. 4

Download original image
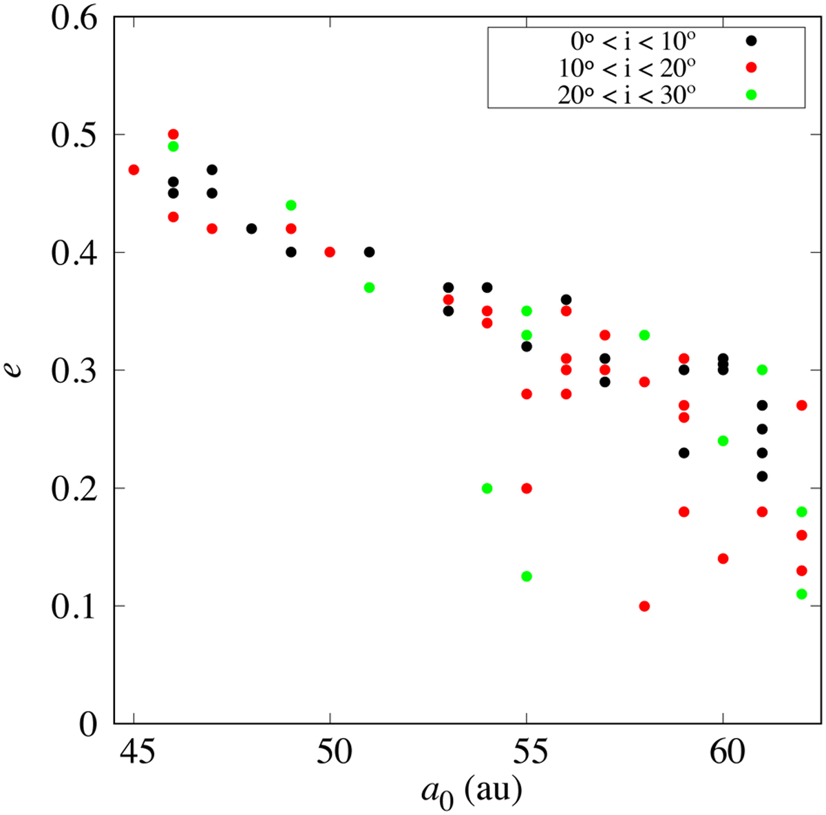
Distribution of the final eccentricity of the TNOs captured in the 3/1 MMR as a function of the initial semi-major axis. We also show the initial inclination of these objects with colour classes.
Current usage metrics show cumulative count of Article Views (full-text article views including HTML views, PDF and ePub downloads, according to the available data) and Abstracts Views on Vision4Press platform.
Data correspond to usage on the plateform after 2015. The current usage metrics is available 48-96 hours after online publication and is updated daily on week days.
Initial download of the metrics may take a while.