Fig. 9

Download original image
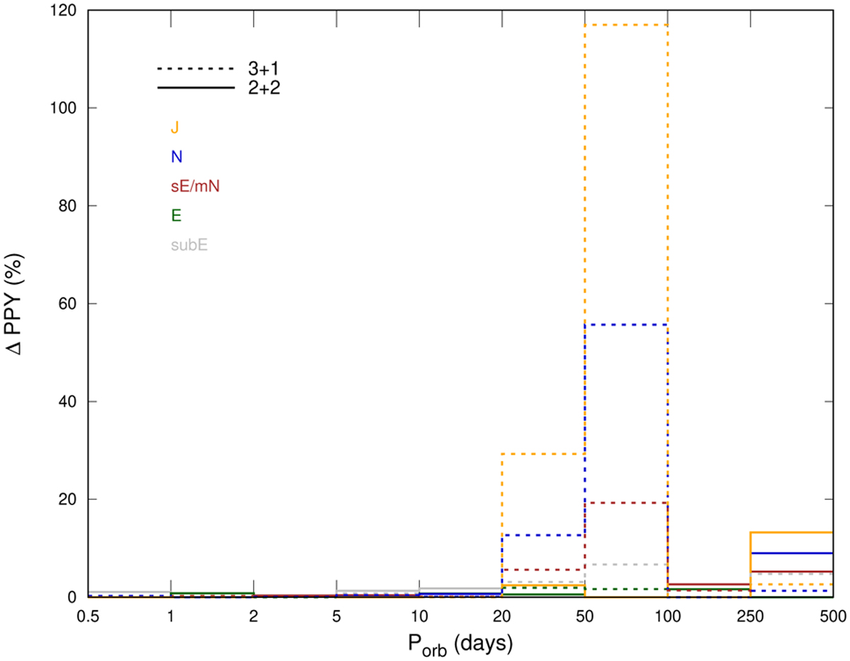
Relative change in the statistical mean values of the PPY that results from the inclusion of planets that are observed to transit only once. Results are presented for the HSU19 planet occurrence rate and the 2+2 (solid) or the 3+1 (dashed) mission scenarios at BOL for Jupiters (J, yellow), Neptunes (N, blue), Super-Earths (sE/mN, brown), Earths (E, green), and Sub-Earths (subE, gray).
Current usage metrics show cumulative count of Article Views (full-text article views including HTML views, PDF and ePub downloads, according to the available data) and Abstracts Views on Vision4Press platform.
Data correspond to usage on the plateform after 2015. The current usage metrics is available 48-96 hours after online publication and is updated daily on week days.
Initial download of the metrics may take a while.