Open Access
Fig. 1

Download original image
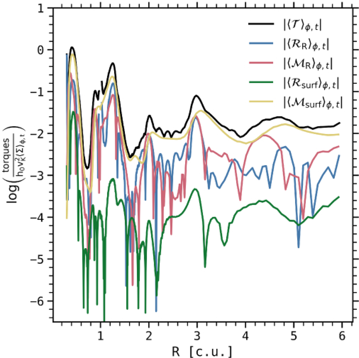
Radial profile of the four torques ℛR (blue), ℳR (red), ℛsurf (green), ℳsurf (yellow) and their sum 𝒯 (black) normalized by , azimuthally averaged and temporally averaged over the last 100 orbits for the run Mj-β3. We consider here only the logarithm of the absolute value of these quantities.
Current usage metrics show cumulative count of Article Views (full-text article views including HTML views, PDF and ePub downloads, according to the available data) and Abstracts Views on Vision4Press platform.
Data correspond to usage on the plateform after 2015. The current usage metrics is available 48-96 hours after online publication and is updated daily on week days.
Initial download of the metrics may take a while.