Fig. 11

Download original image
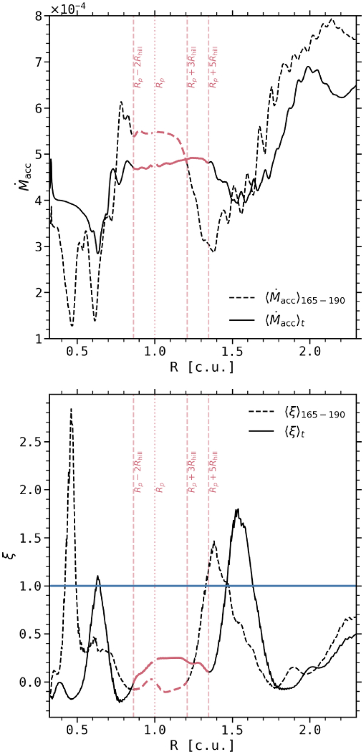
Radial profile of the accretion rate Ṁacc (top panel) and the ejection parameter ξ (bottom panel), averaged azimuthally and temporally over the last 100 orbits (solid line) in the run Mj-β3 for ℰ2 and over 25 orbits during the episode ℰ1 of gas depletion and fast outward drift of the outer gap (dashed line). We removed the contribution close to the planet and its CPD in the evaluation of Ṁacc and ξ.
Current usage metrics show cumulative count of Article Views (full-text article views including HTML views, PDF and ePub downloads, according to the available data) and Abstracts Views on Vision4Press platform.
Data correspond to usage on the plateform after 2015. The current usage metrics is available 48-96 hours after online publication and is updated daily on week days.
Initial download of the metrics may take a while.