Open Access
Fig. 5

Download original image
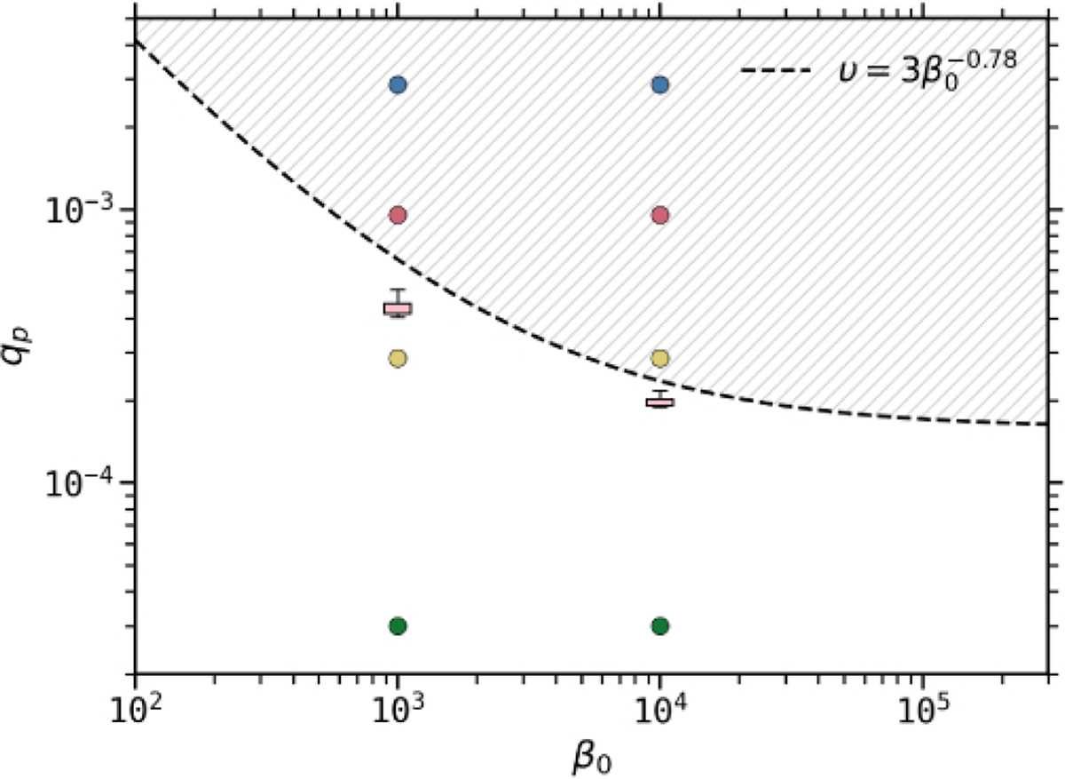
Gap-opening criterion with MHD winds displayed in the (qp,β0) domain. The dashed line indicates the minimum mass to open a gap from this criterion, using a scaling law between u and β0. Planets in the hatched area are able to open a gap. To obtain the pink box plots, we estimated υ in our low-mass planet simulations.
Current usage metrics show cumulative count of Article Views (full-text article views including HTML views, PDF and ePub downloads, according to the available data) and Abstracts Views on Vision4Press platform.
Data correspond to usage on the plateform after 2015. The current usage metrics is available 48-96 hours after online publication and is updated daily on week days.
Initial download of the metrics may take a while.