Fig. F.1

Download original image
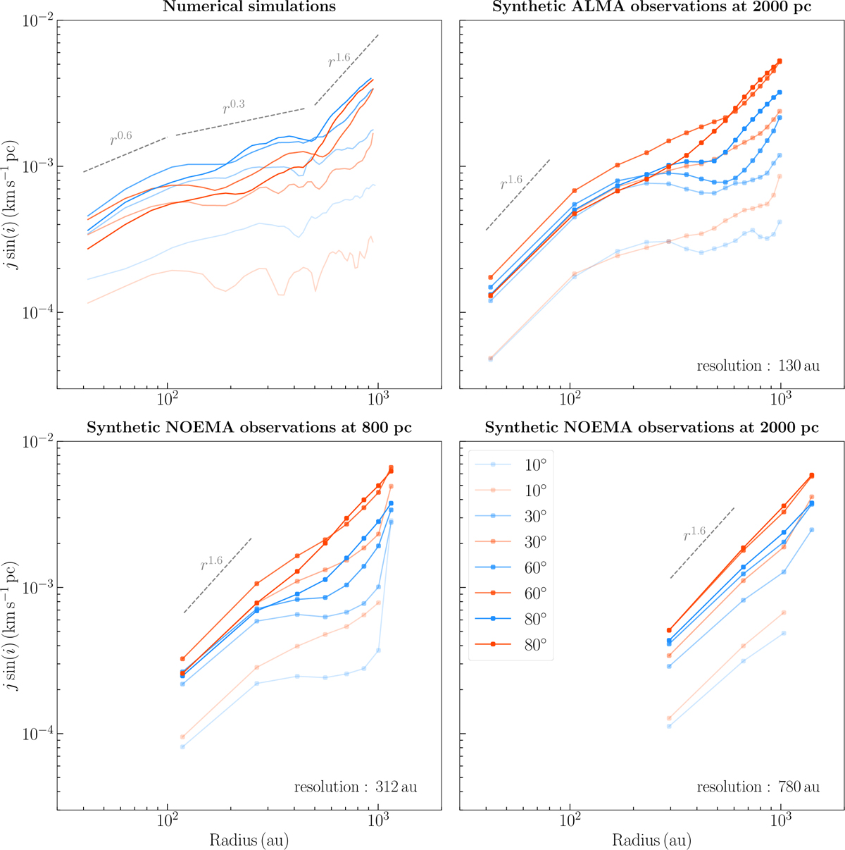
Specific angular momentum radial profiles (see Eq. 7) for a high-resolution numerical simulation of a high-mass core having formed a massive disk that is feeding the central protostar, inclined to 10°, 30°, 60°, and 80°(top left), their synthetic ALMA observations at 2000 pc (top right), and synthetic NOEMA observations at 800 pc (bottom left) and 2000 pc (bottom right), (see Ahmadi et al. 2019). The blue and red colours correspond to the blueshifted and redshifted sides, respectively, and the hues correspond to the different inclinations labelled in the bottom-right panel. Note that we have not corrected for the known inclination in order to compare the simulated observations to our NOEMA observations with unknown inclinations. The distance between each neighbouring point is a half beam spacing. The grey dashed lines show various slopes to guide the eye.
Current usage metrics show cumulative count of Article Views (full-text article views including HTML views, PDF and ePub downloads, according to the available data) and Abstracts Views on Vision4Press platform.
Data correspond to usage on the plateform after 2015. The current usage metrics is available 48-96 hours after online publication and is updated daily on week days.
Initial download of the metrics may take a while.