Fig. 10.

Download original image
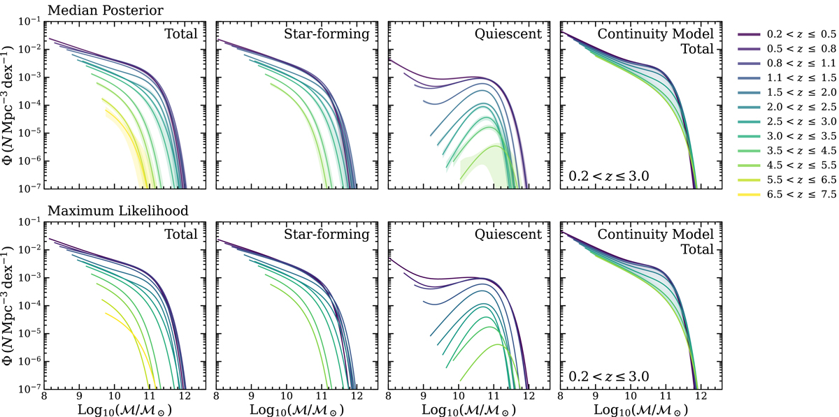
Summary of inferred galaxy stellar mass function evolution. Best-fit parameters are estimated by a Markov chain Monte Carlo fitting with a Schechter function at fixed redshift convolved with a redshift dependent kernel from which the inferred intrinsic mass function is recovered with the unconvolved Schechter fit (colored solid curves) for the total (leftmost), star-forming (center left), and quiescent (center right) samples. Estimates are shown corresponding to both the median posterior parameter values including 1σ envelopes (upper row) and the single set of maximum likelihood parameters (bottom row). The rightmost panel shows the results of fitting the Double Schechter continuity model of Leja et al. (2019a) to the total SMF between 0.2 < z ≤ 3.0 where the fits are reliable; see later in Sect. 5.3 for details.
Current usage metrics show cumulative count of Article Views (full-text article views including HTML views, PDF and ePub downloads, according to the available data) and Abstracts Views on Vision4Press platform.
Data correspond to usage on the plateform after 2015. The current usage metrics is available 48-96 hours after online publication and is updated daily on week days.
Initial download of the metrics may take a while.