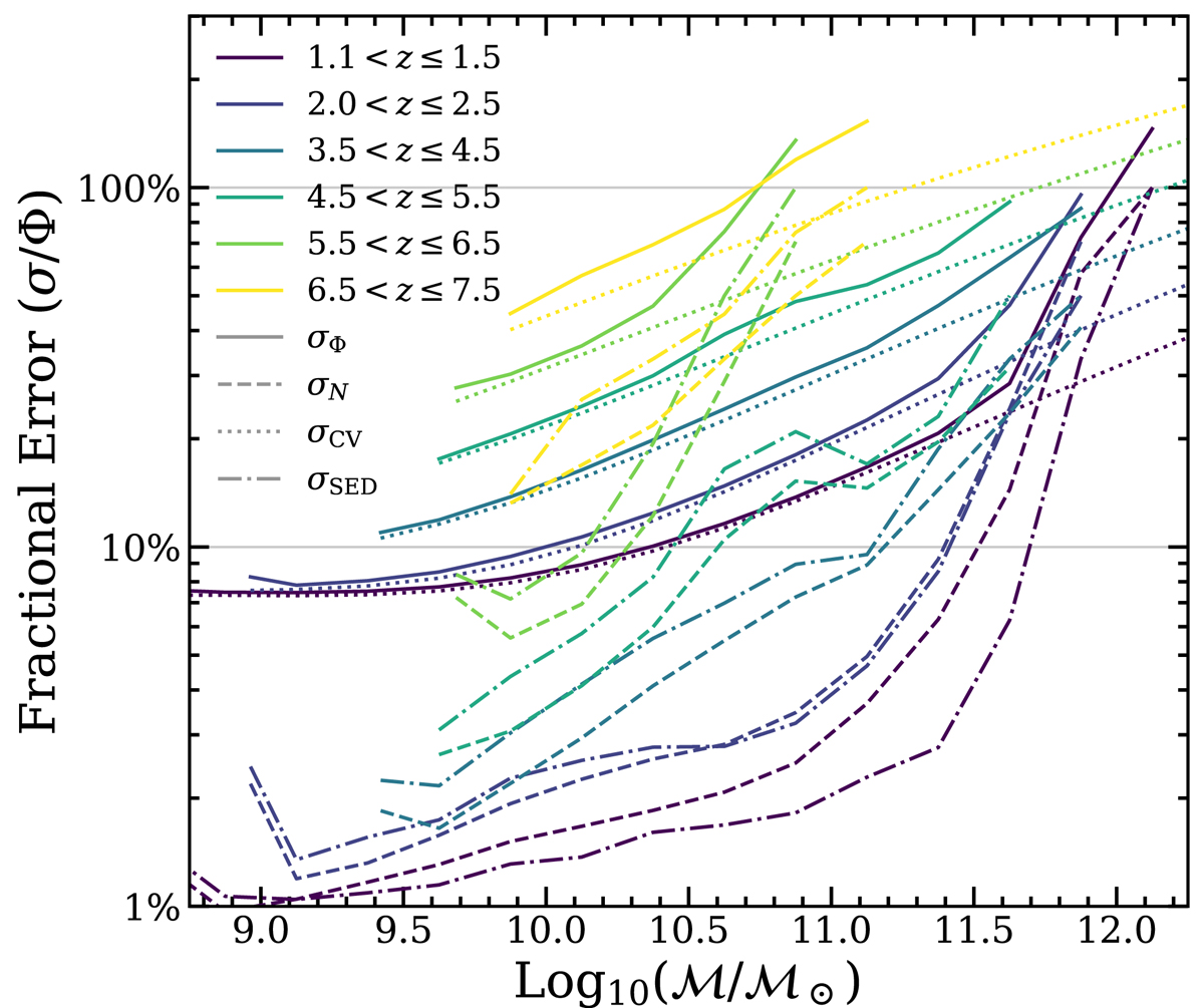
Fig. 3.

Download original image
Adopted estimates for the total uncertainty σΦ (solid) as a function of stellar mass at several redshifts (by color), for mass-complete samples only. Contributions include uncertainties from Poisson noise σN (dashed), Cosmic Variance σCV (dotted), and SED fitting σSED (dash-dot). 10% and 100% levels are indicated for reference.
Current usage metrics show cumulative count of Article Views (full-text article views including HTML views, PDF and ePub downloads, according to the available data) and Abstracts Views on Vision4Press platform.
Data correspond to usage on the plateform after 2015. The current usage metrics is available 48-96 hours after online publication and is updated daily on week days.
Initial download of the metrics may take a while.