Fig. A.1

Download original image
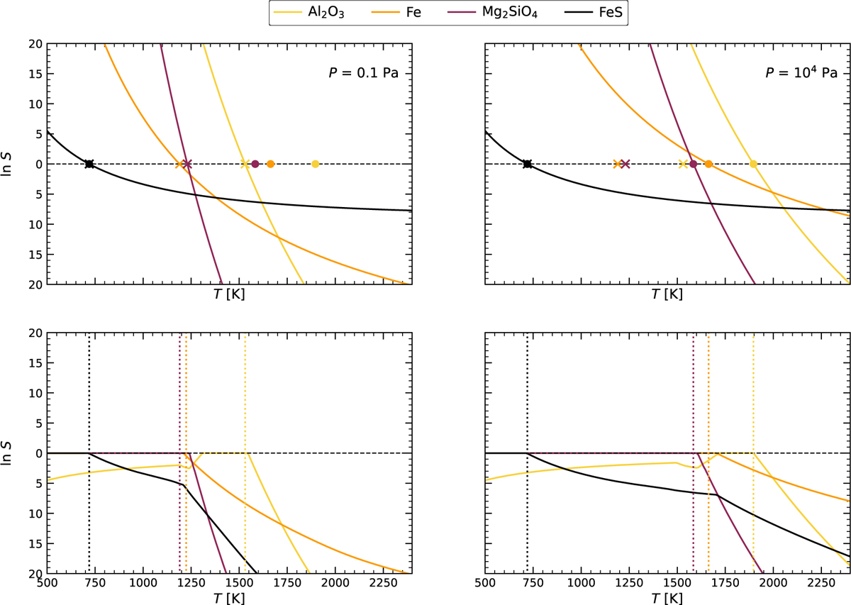
Comparison of the natural logarithm of the supersaturation level S from the representative mineral model (upper row) to the natural logarithm of the supersaturation level S given by GGCHEM for the different mineral species (lower row) in a gas with solar composition as a function of the temperature for two different pressure levels. The crosses in the upper row show the sublimation temperatures for P = 0.1 Pa while the circles show the sublimation temperatures for P = 104 Pa, In the lower row, the vertical dotted lines indicate the sublimation temperatures from the representative mineral model.
Current usage metrics show cumulative count of Article Views (full-text article views including HTML views, PDF and ePub downloads, according to the available data) and Abstracts Views on Vision4Press platform.
Data correspond to usage on the plateform after 2015. The current usage metrics is available 48-96 hours after online publication and is updated daily on week days.
Initial download of the metrics may take a while.