Fig. 2

Download original image
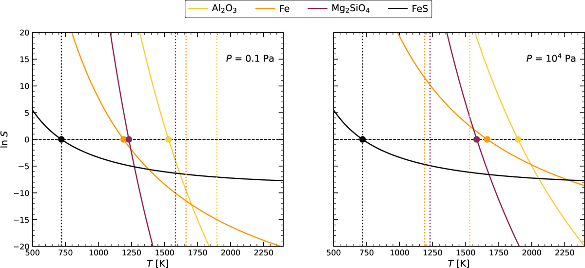
Natural logarithm of the supersaturation level S for the selected mineral species in a gas with solar composition as a function of the temperature calculated with the representative mineral approach at two different pressures. At temperatures where ln S > 0, the mineral species can exist, while if ln S < 0 the mineral will not form even if all the reactants are in the gas phase. The left plot with P = 0.1 Pa corresponds to typical conditions in the protoplanetary disk, while the right plot with P = 104 Pa corresponds to the typical pressures in the inner envelope of an Earth-mass planet. The filled circles indicate the sublimation temperatures while the vertical dotted lines indicate the sublimation temperatures for the other pressure. Except for FeS the sublimation temperature increases with the pressure level. Mg2SiO4 and Fe sublimate at similar temperatures in the low pressure scenario. At a high pressure, Mg2SiO4 has a lower sublimation temperature than Fe.
Current usage metrics show cumulative count of Article Views (full-text article views including HTML views, PDF and ePub downloads, according to the available data) and Abstracts Views on Vision4Press platform.
Data correspond to usage on the plateform after 2015. The current usage metrics is available 48-96 hours after online publication and is updated daily on week days.
Initial download of the metrics may take a while.