Fig. 3

Download original image
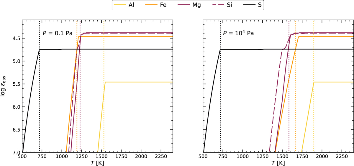
Total element abundances in the gas phase calculated with GGCHEM as a function of the temperature for five elements that represent refractory to moderately volatile minerals. We show the results at two different pressures, P = 0.1 Pa (left) and P = 104 Pa (right). The dotted vertical lines show the sublimation temperature of our corresponding representative minerals. The sublimation temperatures agree well with the temperature at which gas phase molecules that contain the considered elements first appear.
Current usage metrics show cumulative count of Article Views (full-text article views including HTML views, PDF and ePub downloads, according to the available data) and Abstracts Views on Vision4Press platform.
Data correspond to usage on the plateform after 2015. The current usage metrics is available 48-96 hours after online publication and is updated daily on week days.
Initial download of the metrics may take a while.