Fig. 9

Download original image
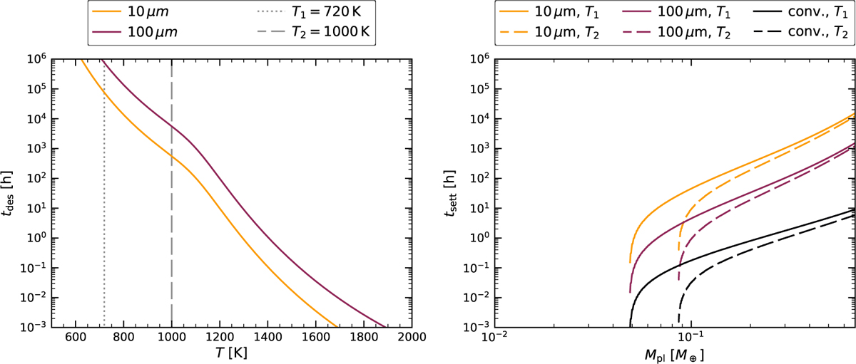
Comparison of the destruction time scales as a function of temperature (left) and the settling time scales as a function of planetary mass (right) for FeS pebbles with a size of 10 µm (orange) and 100 µm (purple). The settling time scales are calculated from the point in the envelope where T = T1 = 720 K (solid lines) and T = T2 = 1000 K (dashed lines). The two temperatures T1 and T2 are also indicated in the left plot by the dotted and dashed line respectively. The settling time scale with convective speed is shown as black lines for the two temperatures. The settling time scales of both pebble sizes from the location of T1 is too short compared to the destruction time scales of the pebbles. The settling time scale of a pebble from the T2 location becomes longer than the destruction time scale of a 10 µm pebble at 1000 K once the planet reaches a mass of M ≈ 0.2 M⊕.
Current usage metrics show cumulative count of Article Views (full-text article views including HTML views, PDF and ePub downloads, according to the available data) and Abstracts Views on Vision4Press platform.
Data correspond to usage on the plateform after 2015. The current usage metrics is available 48-96 hours after online publication and is updated daily on week days.
Initial download of the metrics may take a while.