Fig. 2

Download original image
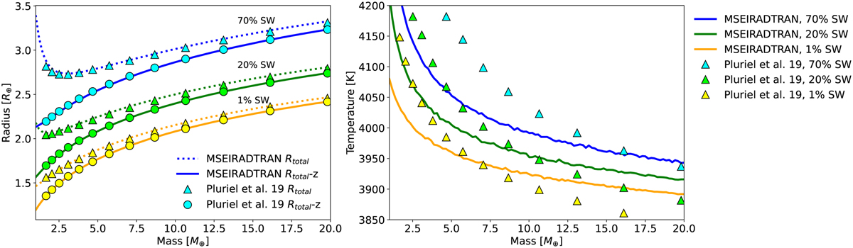
Comparison of the radius and interior–atmosphere boundary temperature between our fc-correlated model (MSEIRADTRAN) and that of Pluriel et al. (2019). Left panel: mass-radius relationships for a planet with a water-dominated atmosphere orbiting a Sun-like star at ad = 0.05 AU. Dashed lines indicate the total radius calculated by MSEIRADTRAN, while the solid line corresponds to the interior radius, which comprises the core, mantle, and supercritical water (SW) hydrosphere. Triangles and circles indicate the total radius and the interior radius obtained when the interior model is coupled with the atmospheric model of Pluriel et al. (2019), respectively. Right panel: temperature at the 300 bar interface as a function of planetary mass.
Current usage metrics show cumulative count of Article Views (full-text article views including HTML views, PDF and ePub downloads, according to the available data) and Abstracts Views on Vision4Press platform.
Data correspond to usage on the plateform after 2015. The current usage metrics is available 48-96 hours after online publication and is updated daily on week days.
Initial download of the metrics may take a while.